Full Equations (FEQ) Model for the Solution of the Full, Dynamic Equations
of Motion for One-Dimensional Unsteady Flow in Open Channels and Through
Control Structures
(64)

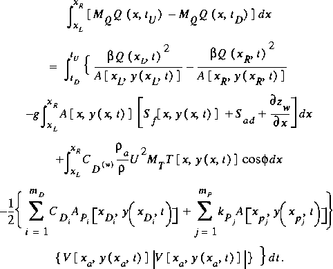
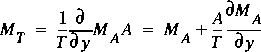
Some arguments for coefficients have been deleted to make the equation more compact. The value MT is a weight coefficient on the top width to give the correct water-surface area per unit length. It is related to volume per unit length just as the top width is to the area; that is,
(65)
.