[Next Section] [Previous Section] [Table of Contents]

Full Equations Utilities (FEQUTL) Model for the Approximation of Hydraulic Characteristics of Open Channels and Control Structures During Unsteady Flow

U.S. GEOLOGICAL SURVEY WATER-RESOURCES INVESTIGATIONS REPORT 97-4037


4.6 Critical-Flow Function


A critical-flow function is computed for the GRITTER command (section 5.14) or for a critical-flow boundary in FEQ with the CRITQ (section 5.4) command. The critical-flow function needed for the GRITTER command must be computed assuming that the velocity distribution in a cross section is uniform to be consistent with the governing equations applied in the generalized Ritter solution to the dam-break problem. This is obtained by using cross-section tables with no critical-flow tabulations. If critical flow is tabulated in the table, the tabulated critical flow will be utilized in CRITQ. However, in most cases, the tabulated critical flow in the table will include the effect of nonuniform velocity distribution. This is inconsistent with the governing equation applied in the generalized Ritter dam-break solution.

Two cross sections are given for the computation of the critical-flow function. One is the cross section of the stream channel upstream from a constricted cross section. This section is called the approach section. The constricted cross section, the second cross section included in CRITQ, must have a bottom elevation that is equal to or greater than the bottom elevation of the approach cross section. Also, the constricted section must be no larger than the approach cross section at any point. The water-surface height in the approach cross section corresponding to critical flow in the constricted cross section is computed for each tabulated water-surface height in the constricted cross section. The user assigns a discharge coefficient as an estimate of the contraction losses that may result in the flow through the constriction.

The flow and head in the critical-flow table are computed as follows. For each nonzero water-surface height in the cross-section table for the constricted section, the critical-flow rate is selected from the table if tabulated, or is computed if not tabulated applying

(104)

Equation ,

where

Q c is the critical-flow rate at critical depth, y c;
A c is the flow area at critical depth; and
T c is the top width of the water surface at critical depth.

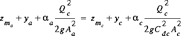
Given the critical-flow rate at each water-surface height in the constricted section, the water-surface height in the approach cross section required to produce this flow is computed by applying an energy balance between the approach section and the constricted section, and the following equation is solved for y a as

(105)

Equation ,

where Equation and Equation are the bottom elevations of the approach and constricted section, respectively. The coefficient of discharge, C dc, is 1.0 if no losses result. A coefficient of discharge less than 1.0 implies a loss Equation of the velocity head in the constriction. Values of C dc close to 1.0 are reasonable because the losses in contracting flows are generally small. The approaching flow must be subcritical for a meaningful solution to result. A subcritical solution is sought and an error is reported in FEQUTL if a subcritical solution cannot be calculated. A subcritical solution will result if the constricted section is restrictive at all depths. The tabulation interval in the constricted cross-section table should be small, especially at small depths, if accurate interpolation is to be obtained in the resulting critical-flow table. The DZLIM (section 5.1) value in FEQUTL can be used to force a small interval for this table.

The maximum water-surface elevation in the approach cross-section table must be higher than the maximum water-surface elevation in the constricted cross-section table. The water-surface elevation and the corresponding water-surface height in the approach section are computed for assumed critical flow at each nonzero water-surface height tabulated in the cross-section table for the constricted section. Because the flow is contracting, the water-surface elevation in the approach section will always be equal to or greater than the water-surface elevation in the constricted section.


[Next Section] [Previous Section] [Table of Contents]