[Next Section] [Previous Section] [Table of Contents]

Full Equations (FEQ) Model for the Solution of the Full, Dynamic Equations of Motion for One-Dimensional Unsteady Flow in Open Channels and Through Control Structures

U.S. GEOLOGICAL SURVEY WATER-RESOURCES INVESTIGATIONS REPORT 96-4240

11.1 One-Dimensional Function Tables


Thirteen types of 1-D function tables are available in FEQ to describe physical features of the stream system to be modeled. Many of these table types contain overlapping information, so it is unlikely a given stream system would be simulated by use of all the table types. The following sections describe each of the 1-D table types and the relations among them.

11.1.1 Types 2 and 7

Table types 2 and 7 are similar. Both table types have one argument and one function value, and linear interpolation is applied to determine values not tabulated. A single number is used as an argument in type 2, whereas an external argument with a date/time specification for presenting the time series is used in type 7. This date/time specification is converted internally to a single variable for convenience in interpolation.

By proper choice of the tabulation interval and the choice of the function values, many functions can be represented with these table types. These include rating curves, hydrographs, variation of spillway coefficients with head, and any other function for which a single variable is a function of a single argument.

11.1.2 Types 3 and 8

The relation between table types 3 and 8 is the same as for types 2 and 7, except that the table requires one argument and two function values. The additional function is the derivative of the tabulated function, fT, with respect to the table argument, fT. Linear interpolation in the derivative and integration of the derivative is used in types 3 and 8 to define the function values; that is, the derivative value is defined by

(142)

Equation ,

and the function value is defined by

(143)

Equation ,

where the argument y is contained within the interval ( yi, yi+1 ). The trapezoidal rule is used for integration in equation 143 because it is exact for linear functions. For this table type, values must be computed such that equation 143 is correct. This means that the function value is computed by integration of the piecewise linear derivative.

No formal name has been applied for the interpolation defined by these equations. It will be called integrated linear interpolation for subsequent reference. The function, f T, is, at most, a piecewise quadratic function of its argument. If the integrated function is quadratic, then the interpolation will be called integrated quadratic interpolation.

Function table types 3 and 8 are ideal for representing the area and storage capacity of a level-pool reservoir because the integral of the surface area is the storage. The storage must be computed by trapezoidal-rule integration of the surface area.

11.1.3 Types 4 and 9

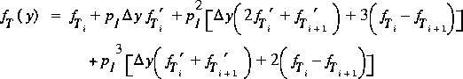
The relation between table types 4 and 9 is the same as for types 2 and 7. In this case, the table includes one argument and two function values, the additional function being fT. These tabulated functions are the same as for types 3 and 8, but the interpolation rule differs. For types 4 and 9, a cubic polynomial is defined over each interval by use of the function value and its derivative at each endpoint. The derivative of this cubic polynomial then gives the interpolating polynomial for the derivative of the function. If Equation is the tabular interval and Equation is the proportion of the tabular interval represented by the point of interpolation, y, then the interpolated function value is

(144)

Equation,

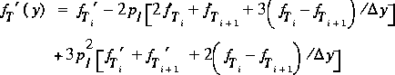
and the interpolated derivative is

(145)

Equation.

Function tables of types 4 and 9 are useful whenever a function must be represented smoothly. However, the user must be aware that no checking on the validity of the relation between the function and its derivative is done in FEQ computations. Improper selection of the function and its derivative for tabulation when the function is close to zero can result in an interpolated value that is negative when such a function value is invalid. Many functions of interest in unsteady-flow analysis are not only positive but are always increasing. Linear interpolation of functional results will yield values that are always increasing. Linear integrated interpolation will yield values that are always increasing if the derivative, as tabulated, is always positive. To avoid nonincreasing interpolated values when piecewise cubic interpolation is applied, all tabulated derivatives must be nonnegative and the absolute value of the derivative at either end of the piecewise cubic part of the function must never exceed three times the absolute value of the straight line slope between the function values; that is, Equation for all i and Equation for j = 0,1 for each interpolation interval.

11.1.4 Type 11

The speed and direction of the wind velocity used to compute the shear stress on the stream surface is tabulated in table type 11. The direction, given in terms of azimuth from north, follows the normal convention for wind; that is, the direction from which the wind is coming, not the direction that the wind is going. Thus, one argument and two function values are in the table, both function values are interpolated linearly as in table types 2 and 7.

11.1.5 Cross-section function tables (types 20-25)

Six cross-section function tables are supported in FEQ. The type numbers assigned are from 20 to 25. Cross-sectional hydraulic characteristics as a function of the water-surface height in the cross section are tabulated in all table types. Therefore, these function tables are 1-D because only one argument is included. However, all tables contain more than one function value for each argument value.

Depth, top width, area, square root of conveyance, and the momentum-flux correction coefficient are tabulated in all six table types. The first moment of area about the water surface is added in type 21. The first moment of area about the water surface, the energy-flux correction coefficient, and critical flow rate are added in type 22. Types 23 through 25 are similar to types 20 through 22 with the addition of the correction factors for channel curvilinearity. Table contents are summarized symbolically as follows:

Type 20: y, T, A, Equation , This is the Greek letter Beta

Type 21: y, T, A, Equation , This is the Greek letter Beta, J

Type 22: y, T, A, Equation , This is the Greek letter Beta, J, This is the Greek letter Alpha, Qc

Type 23: y, T, A, Equation , This is the Greek letter Beta, MA, MQ

Type 24: y, T, A, Equation , This is the Greek letter Beta, J, MA, MQ

Type 25: y, T, A, Equation , This is the Greek letter Beta, J, This is the Greek letter Alpha, Qc, MA, MQ

The interpolation mode for each of the cross-sectional characteristics is listed in table 5.

Table

Integrated quadratic interpolation follows the concept of integrated linear interpolation. The first moment of area about the water surface is given by the integral of the area. This results in

(146)

Equation .

Equation 146 is the trapezoidal rule with end corrections and is exact for polynomials of third order (cubic) or less. Therefore, the area is integrated exactly because the area as defined by integrated linear interpolation is a quadratic polynomial.

Linear interpolation of the critical flow in logarithms of flow and depth implies that Qc is a piecewise power function of water-surface height; that is, for each tabulation interval ( yi, yi+1 ),

(147)

Equation ,

where cai and cbi are the coefficient and power, respectively, of the power function for interval i. The power and the coefficient will vary between intervals. This interpolation for critical flow is exact for rectangular, triangular, and parabolic cross sections. It also is exact for cross sections where the top width varies as a power function of the water-surface height in the section. For other shapes of cross section, it is a good approximation over moderate ranges of water-surface height, which is acceptable for the purposes of table look up.

Cross-section function tables are input in program unit XSECIN. Table lookup is done in the subroutines XLKT nn, where nn gives the type number for the table. A function table can be applied in any context for which the table contains the required information; for example, tables of type 25 can be used even though all the characteristics are not needed. If sufficient information for a given context is not available in the selected cross-section table type, an error message is issued and processing stops.

Some obsolete table types are supported in FEQ so that streams simulated with earlier versions of FEQ can be easily adapted to the latest version. These types are types 1 and 12 for cross-section tables. They are exactly the same as the current types 21 and 22. These table types for cross-section function tables are no longer computed in FEQUTL, but they can be used in FEQ simulation. The type designation is converted on input to FEQ. A table of type 5 is computed in FEQ for internal use in abrupt expansions to extract the relation between water-surface height and critical flow from a cross-section table.

11.1.1 Types 2 and 7
11.1.2 Types 3 and 8
11.1.3 Types 4 and 9
11.1.4 Type 11
11.1.5 Cross-section function tables (types 20-25)

[Next Section] [Previous Section] [Table of Contents]