Full Equations (FEQ) Model for the Solution of the Full, Dynamic Equations
of Motion for One-Dimensional Unsteady Flow in Open Channels and Through
Control Structures
(33)
,and
(34)
,where q is the lateral inflow per unit length along the channel, defined as a function of distance and time such that
(35)
.Equations 33 and 34 are in conservation form because the basic variables are explicitly expressed.
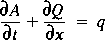
The area in equation 33 should be considered the volume per unit length of channel. Thus, the time derivative of area gives the rate of change of volume per unit length. The derivative of the flow rate in the channel with respect to distance should be considered the channel outflow per unit length of channel. All of the quantities in equations 33 and 34 are algebraic expressions and can be positive or negative; therefore, a negative outflow is an inflow. Equation 33 is a statement of the conservation of mass principle (with
constant) on a per-unit-length basis.
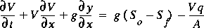
Similarly, equation 34 is a statement of the principle of conservation of momentum per unit length. In the time derivative of flow, the flow rate is the momentum per unit length. The terms involving derivatives of J on the right-hand side of the equal sign represent the net downstream pressure force per unit length. The derivative of QV, when moved to the right of the equal sign, represents the net efflux of momentum per unit length. Finally, the term gA(S0-Sf) is the net downstream force per unit length from gravity and friction forces. Thus, equation 34 (with all terms but the time derivative of flow moved to the right-hand side) defines the time rate of change of momentum per unit length as the sum of the net downstream forces and the net efflux of momentum.
(36)

and
(37)
,which is often called the Saint-Venant form of the equations of motion (Chow, 1959, p. 528). This and other similar forms of the equations are the most common forms in the hydraulic literature. The relation between the principles of conservation of mass and momentum and the terms in the equations has been obscured in equations 36 and 37.
(38)
,and
(39)
,where c is wave celerity, the speed of an infinitesimal disturbance in the channel relative to the water. If the flux correction coefficients are taken to be unity, then the celerity is equal to Qc/A, where Qc is given by equation 22. If the characteristic form is derived from a mass-energy formulation, the celerity is given by QE/A, where QE is given by equation 25; if it is derived from a mass-momentum formulation, the celerity is given by QM/A, where QM is given by equation 26. This relation between steady flow and unsteady flow is expected because the steady-flow equations are special cases of the unsteady-flow equations.
The bracketed terms in equation 38 represent the ordinary derivatives of velocity and water-surface height when these derivatives are taken in the directions given by equation 39. Then equation 38 becomes
(40)
.Equation 40 is best understood as representing the rate of change of velocity and water-surface height that an observer moving along the stream channel in the characteristic direction and with the velocity given by equation 39 would measure. The characteristic form of the equations of motion is not applied in FEQ simulation; however, the characteristic form of the equations is presented here because understanding the movement of waves along the characteristic direction provides valuable insight on several aspects of unsteady-flow analysis, such as boundary conditions, initial conditions, and solution methods, as discussed in the next section.