Full Equations (FEQ) Model for the Solution of the Full, Dynamic Equations of Motion for One-Dimensional Unsteady Flow in Open Channels and Through
Control Structures
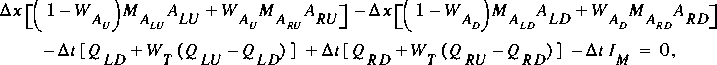
x be the length of a typical computational element and
t be the length of a typical time increment. If the approximate integration rule on equation 47 is applied, then the conservation of mass equation becomes
where the subscript M denotes a middle or mean value and all terms were moved to the left-hand side of the equation before making the approximations. The average area at time tU is determined by the weight
, and the average area at time tD is determined by a different weight
because the weight applied to distance integrals of area, WA, can vary with time. The algebraic form for the conservation of mass equation on a typical rectangle on the x-t plane is given in equation 68. The lengths of the computational elements may differ along the branch, and the time increment or step may differ with time. These variations between elements and between times are important neither to understanding the approximations nor to writing the equations. Thus, those variations are not described.
The lateral inflow term, IM, requires special treatment for storm sewers; in this case, the lateral inflow truly refers to the surface runoff entering the sewer through catch basins and curb inlets along the path of the sewer. Surface runoff reaching these inlets is usually estimated with a hydrologic model. The calculations done with the hydrologic model are independent of the hydraulic routing in the storm sewer. The need for special treatment arises when surface runoff reaches the entrance of a sewer that is flowing under pressurized conditions. In the prototype system, water entry to the sewer is restricted, and water forms temporary ponds in streets, basements, and other depressions or flows to the stream by some overland flow path. The ponding may further add to the pressurization of the sewer downstream from the inlet. To consider tributary area connected to a storm sewer, an approximation to the storage of surface runoff that exceeds the capacity of the pressurized sewer is provided in FEQ.
In the prototype system, water enters the storm sewer at discrete points, usually at curb inlet structures. It is possible to simulate each inlet structure and specify its detailed hydraulic behavior, but this level of detail is rarely required, and providing it would prove expensive. Some simpler representation is needed to simulate the major factors affecting the entry of water into the storm sewer. These factors are the height of the ground surface above the storm-sewer invert, denoted by yG, and an effective inlet area, denoted by Asi. It is assumed that the water is stored at the height yG above the invert and that the ponding capacity is unlimited in FEQ simulation. Excess water is stored until the conditions in the storm sewer at that point allow the water to enter.
A current maximum rate of inflow for each computational element (control volume) on a branch is computed in FEQ simulation. Let yM be the mean value for the water-surface height in the control volume for a time step defined as
(69)
.For a storm sewer, a hypothetical thin slot is added to the top of the closed conduit to maintain a free surface, and yM is measured in this slot to account for pressurization.
The head difference between the water-surface elevation in the assumed ponding area and in the control volume is
(70)
.The maximum current rate of inflow, QMAX, then is
(71)
,
where sign (
h) is +1 if
h > 0 and -1 otherwise.
Derivatives of equation 71 are used in the solution process in FEQ with respect to the water-surface height in the control volume. This derivative becomes large as
h becomes small and in the limit becomes infinite. These large derivatives can result in failure of the solution process. Therefore, equation 71 is linearized whenever |
h| <
h*, where
h* is a small value of the head difference equal to 0.5 ft. In this case, the maximum inflow is
(72)
.If IM > QMAX, then a rate of lateral inflow of QMAX enters the sewer and the excess is added to the ponding volume for the computational element. If IM < QMAX, then the rate of lateral inflow, IM, is augmented from the ponded water, if any is available, to bring the rate of inflow to QMAX. If ponded water is not available, then the rate of inflow is just IM. The maximum rate of inflow from equations 71 or 72 can be negative. This means that water is leaving the storm sewer at this computational element and is being stored.
The approximation to the process of sewer surcharging is simple and requires a minimum of additional information about the storm sewer. The ponding volume in each computational element can be only a rough approximation to the process, and the ponding volume for the entire branch is probably a better index of the surcharging of the storm sewer. A more detailed representation of storm-sewer surcharging requires that the alternative flow paths be defined and that the storage capacity of the ponding areas also be defined. The surcharging process can be simulated in detail, but the data requirements are demanding.