Full Equations (FEQ) Model for the Solution of the Full, Dynamic Equations
of Motion for One-Dimensional Unsteady Flow in Open Channels and Through
Control Structures
For equation 63, the conservation of momentum equation, the derivation will proceed in steps to simplify the notation. Consider an approximation to the distance integral representing boundary shear (with Sf) and gravity and pressure forces (with
) in the first double integral in equation 63,
(73)
,
where the subscript M denotes a middle or mean value and the equivalent slope for accelerating and decelerating flow,
, has been omitted. The averages given in equation 73 are all with respect to distance at a fixed time.
To further simplify the equations, let PGF denote the approximation to the integral of the pressure, gravity, and friction terms in equation 73; then equation 73 becomes
(74)
.In this equation, the average area is given by
(75)
,and the average friction slope is
(76)
,
where average discharge QM is QL + (QR - QL)/2 and average conveyance KM is KL + WX(KR - KL). In this notation, the integral of the pressure, gravity, and friction terms over the length of the computational element at tU is
; that is, the time-point designator is appended to the subscript to indicate the time point of interest.
Applying a simple arithmetic mean over time to the momentum stored in the control volume and applying the time approximations described previously to the forces, the approximation to equation 63 is

In equation 77, the time-averaged wind-stress term
is approximated by
(78)
.
This is the product of the wind stress in the downstream direction for the element at time tU and the water-surface area of the element at time tD. The term
is the time-averaged equivalent drag that represents the effect of eddy losses at expansions and contractions and the effect of submerged objects in the control volume (computational element).
A definition of the location of the velocity of approach and the projected area of a submerged object (if a drag coefficient is specified) or a cross-sectional area (if an approach-velocity head-loss factor is applied) are required in equation 53 to obtain an equivalent drag. A rigorous approximation could apply a different approach-velocity section depending on the direction of the flow past the obstruction; however, such rigor would complicate the implementation unnecessarily. The approach for the equivalent drag is designed to approximate smaller obstructions in the flow. If the obstruction is large, then the approximation is invalid because critical flow possible near the obstruction is not considered. Thus, the part of the flow area obstructed must remain small for equation 53 to be valid. The control volume defined by a computational element should be short, so that the velocity at any point and time results in a reasonable approximation to the approach velocity. If these conditions are met, then the average velocity in the control volume can reasonably be used for the approach velocity, the average water-surface height to define the projected area, and the average area for the velocity-head loss factor.
An additional convenience is to combine the two drag terms into a single equivalent term, because both forms of expression for the effects of a submerged object will probably not be needed in a single control volume. The integrand for the combined drag terms is
,where the assumptions about areas and approach velocities have been substituted. It is important in this expression that the mean area be computed in model simulation from the cross-section description. The drag coefficient, CD, the velocity-head coefficient, kP , and the projected area of the obstruction will be given as functions of average water-surface height in the control volume (computational element). Thus, the drag expression must be rearranged so that the mean area will be separated from the other terms. This is done by normalizing the product of the drag coefficient and projected area by the mean value of area for the computational element determined in the four-point scheme of numerical integration; the result is
.
The bracketed term,
, can be computed as a function of the average water-surface height and placed in
a table. This term indicates that the area of the obstruction relative to the mean area and multiplied by a drag coefficient is equivalent in effect to a loss coefficient that is applied to a velocity head. In the normalized expression for the drag terms, the value of the integrand is evaluated at a given time t, and the averages are taken with respect to distance at this time.
The slope term for the effect of accelerating or decelerating flow (that is, for eddy losses), Sad, was not included above. It is included here by extraction from equation 63 as
.Replacing Sad with equations 59 and 62 results in
.In this expression, neither the velocity-head difference nor the sum of flows is a function of the integration variable, and the area is the only variable subject to integration. Approximating the integral of the area by the product of the control-volume length and a mean area results in
,as the approximation for the term representing the effect of eddy losses resulting from channel expansions or contractions on the motion equation. This force term is similar in form to the drag resulting from a small obstruction in the flow. Thus, the eddy-loss term may be combined with drag as a single, equivalent drag term. The factor of 1/(2g) for the velocity heads was moved from within the absolute value because it is always positive.
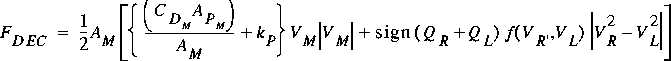
The expressions for the normalized drag terms resulting from submerged objects or obstructions and eddy losses resulting from channel expansions or contractions are combined to represent the special terms in the motion equation as
(79)
,where FDEC is the equivalent drag expressed in similar units as in equation 63. Again, FDEC is a value at a given time that applies to the control volume. The time-averaged equivalent drag is then
(80)
.Equations 68 and 77 are evaluated in FEQ for each computational element in a branch to develop the equation system for a branch. These equations and the internal and external boundary-condition equations define the unknowns at each node in the stream system.