[Next Section] [Previous Section] [Table of Contents]

Full Equations Utilities (FEQUTL) Model for the Approximation of Hydraulic Characteristics of Open Channels and Control Structures During Unsteady Flow

U.S. GEOLOGICAL SURVEY WATER-RESOURCES INVESTIGATIONS REPORT 97-4037


4.8 Underflow Gates


The flows through a sluice gate or a tainter gate are approximated in FEQUTL by computing a series of 2-D tables: one table for each of a series of gate openings. When the gate opening is fixed, the flow is defined for given upstream and downstream water-surface elevations. The 2-D tables are of type 13. This requires that a drop is present from the upstream water surface to the downstream water surface. This should be applicable in most cases. These tables are computed in the UFGATE command (section 5.20). A 1-D table of type 15 is used to store the gate openings and the corresponding table numbers for the 2-D tables. Thus, a 3-D table look-up is done in FEQ simulation to define the hydraulics of a sluice or tainter gate.

A sketch of the cross sections used to define the gate and its approach and departure channels is shown in figure 15. A sketch of the various flow conditions that may result for an underflow gate at a fixed gate opening is shown in figure 16. The flow through the gate is zero when the piezometric head at section 1 is the same as the piezometric head at section 4. The flow is grouped into four classes or conditions as identified in Fisk (1988): free and submerged orifice and weir flows. Free-orifice flow (FO) results when flow in contact with the gate lip is unaffected by downstream water level. Free-weir flow (FW) results whenever the gate lip is free of the water surface and the flow is unaffected by downstream water levels. The transition between the two flow conditions results when the upstream piezometric head at section 1 exceeds the gate-lip elevation enough to raise the water at section 2 to the gate lip. The boundary between these two flow conditions is shown as a vertical dashed line in figure 16. If the piezometric head at section 1 is held at a fixed value and the downstream water-surface elevation at section 4 is increased enough, the flow through the gate will be submerged. If the gate lip is in contact with the water, the flow condition is denoted as submerged orifice (SO). If the gate lip is free and subcritical flow is present at the weir, the flow condition is denoted as submerged weir (SW). The regions for these flow conditions are shown in figure 16 with the boundaries between regions represented by dashed lines. The assumptions made in the analysis applied in FEQUTL result in the transitions as shown in figure 16. The boundaries between the four regions meet at a single point.

The key assumptions, not including the 1-D flow assumption, made in the analysis of underflow gates are as follows.

  1. The departure channel, from section 3 to section 4 in figure 15, is assumed to be horizontal and prismatic so that a simple momentum balance can be used to estimate the submergence of the flow through the gate openings. This assumption has been used with reasonable success by Henry (1950) and Rao and Rajaratnam (1963).
  2. At least a small contraction in the flow area between the approach section (section 1) and the gate openings is always present. Generally, the appurtenances needed for the mounting and movement of the gates make this necessary. This means that the flow is contracting as it moves from section 1 to section 2 even if the gates are raised to the maximum position and are not in contact with the water.
  3. The floor of the departure reach is at or below the floor of the approach reach. If a step is present, it is as shown in figure 15.
  4. Submergence of the flow through the gate begins as soon as the estimated depth at the point of minimum contraction of the emerging jet is exceeded by the water-surface elevation at section 3. Sections 2 and 3 are taken at essentially the same point with section 2 describing the emerging jet and section 3 describing the conditions at the upstream end of the departure reach.
  5. The size of the emerging jet is approximately the same in both free-flow and submerged-flow conditions. For cases of orifice flow, the jet size is given by C coh g, where C co is a contraction coefficient and h g is the gate opening. This is not always true, but utilization of this assumption for underflow gates by Henry (1950), Toch (1955), and Elevatorski (1958) produced good results.
  6. FW flow is computed assuming that critical flow results in the gate opening. This avoids the need for estimating a weir coefficient for this condition.
  7. The submergence of the flow for both FO and FW conditions is computed based on a simple momentum balance. Smooth transitions between different flow conditions may be obtained with a simple momentum balance.
  8. The coefficient of contraction for sluice gates is a function of the ratio of the gate opening to the approach piezometric head, called the gate-opening ratio. The coefficient of contraction for tainter (radial) gates is taken to be a function of the angle that the upstream face of the gate lip makes with the horizontal plane (Toch, 1955).
  9. Transitions between the flow classes are smoothed by varying the contraction coefficient from the value of 1.0 at the weir-flow (FW or SW) limit when the water just touches the gate lip to the contraction-coefficient value for orifice flow (FO or SO). The smoothing takes place over the interval h 1fwul to h 1fwul + R hg h g = h1foll, where h 1fwul gives the upper limit for piezometric head at section 1 for FW flow; h 1foll gives the lower limit of FO flow with a standard coefficient of contraction; and R hg is the fraction of the gate opening width over which the transition in contraction coefficient is applied. The variation is taken to be linear as a function of the head at section 1. In addition, C co is 1.0 for the small region of SO flow that is above the SW flow region between hp1=hg and hp1 = h1fwul in figure 16. The user controls the abruptness of the transition by selection of the value of Rhg.

4.8.1 Free-Orifice Flow

Utilizing a simple energy relation between sections 1 and 2 and allowing for some loss of energy with a discharge coefficient, C dfo, yields the governing equation for FO flow

(106)

Equation ,

where B g is the width of the gate opening; and z j is the elevation of the channel bottom at a section j. The arguments for area, contraction coefficient, and other factors have been omitted to simplify the notation. Solution of equation 106 for the flow gives

(107)

Equation ,

as the definition of FO flow.

4.8.2 Free-Weir Flow

In order to maintain a smooth transition between FO flow and FW flow, an equation similar to equation 106 is applied with the assumption of critical flow at section 2 to define FW flow as

(108)

Equation

and

(109)

Equation ,

where C dfw is the discharge coefficient for FW flow. Substituting for flow in equation 108 with that from equation 109 gives

(110)

Equation ,

as the nonlinear equation in the unknown water-surface height at section 2. Equation 110 is solved iteratively for y 2 and then the flow through the sluice opening is defined by equation 109.

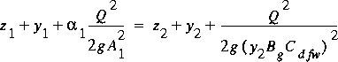
4.8.3 Submerged-Orifice Flow

Two equations are required to define SO flow: an energy equation analogous to equation 106 and a simple momentum balance. The energy equation is

(111)

Equation ,

where C dso is the discharge coefficient for SO flow. The water-surface height at section 3 replaces the piezometric level for the emerging jet, but the velocity head is given by the velocity of the jet, assuming it is close to the value that would have resulted had the jet not been submerged. The simple momentum balance is

(112)

Equation ,

where the arguments of the first moment of area about the water surface, J, have been shown explicitly. This equation is applied for two purposes. In the first application, the drop between sections 1 and 4 at the free-flow limit for FO flow is defined. In this application, there is only one unknown, y 4. The flow is defined in the FO equation for the given upstream water-surface elevation at section 1. In the second application, equations 111 and 112 are solved simultaneously to define the flow and the submergence level, y 3, when the flows for partial free drops are computed for a given value of y 1.

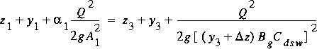
4.8.4 Submerged-Weir Flow

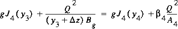
The energy equation for SW flow is

(113)

Equation ,

whereThis is the Greek letter Delta z is Equation , and C dsw is the discharge coefficient for SW flow. The corresponding momentum equation is

(114)

Equation .

Equation 114 also is applied for the same two purposes as equation 112 in the case of SO flow.

4.8.5 Outline of Solution Process for Underflow Gates

For each of a given series of gate openings, the free and submerged flows must be computed for user-specified series of upstream water-surface elevations and partial free drops (that specify the downstream water-surface elevations). For a given gate opening, the following steps summarize the solution process.
  1. The limiting upstream water-surface height for FW flow, y1fw, is determined for the gate opening. The FW flow is assumed to just touch the gate lip, that is, y2 = hg. The upstream water level required to produce the FW flow is computed from equation 108. The right-hand side (RHS) of equation 108 is known if y2=hg. Thus, the specific energy on the left-hand side may be used to compute the subcritical value of upstream water-surface height, y1fw. This water-surface height at section 1 defines h1fwul. The lower limit for FO flow, h1foll, is computed from h1fwul and hg. If all gate openings have been evaluated, the computations are complete.
  2. The free flow for the current upstream water-surface height, y 1, is determined if any upstream water-surface heights must still be evaluated. If y 1 less than or equal to y 1 fw, the FW flow is computed for that level. If not, the FO flow is computed for the current upstream water-surface height. The free weir or orifice flow is denoted as Q f. If no upstream water levels remain to be evaluated, the procedure returns to step 1.

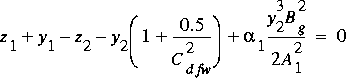
    2.1. If the upstream water-surface elevation exceeds the elevation of the gate lip (y1+z1>hg+z2), SW flow will transition to SO flow. At the limiting downstream water-surface-height level for SW flow, y4sw, the water just touches the gate lip from downstream. The flow rate for this condition is computed with equation 113 with y 3 = hg + Equation
    2.2. The limiting downstream water-surface height for SW flow, y4sw, is calculated by solving equation 114 for the tail-water level, applying the value of y 3 and flow determined in step 2.1.
  3. The downstream water-surface height at the free-flow limit, y 4 f, is determined. If the flow is FW, then equation 114 is applied to find y 4 f when the flow is Q f and the water-surface elevation at section 3 matches the water-surface elevation at critical flow at section 2. Otherwise, y 4 f is computed with equation 112 under the same conditions of matching water levels at sections 2 and 3.
  4. The next downstream water-surface height, y 4 , for submerged flow is computed. This is done on the basis of distributing the partial free drops according to parameters supplied by the user. The downstream water-surface height varies from the free-flow limit to equality with the water-surface elevation at section 1.
  5. If the flow is FO, the solution procedure moves to step 7; otherwise, this step is done. For FW flow, the submerged flow may be SW but may transition to SO if the current upstream water-surface elevation is above the gate opening. If y 1 + z 1 > h g + z 2, then steps 5.1 and 5.2 are done; otherwise, step 6 is done.
  6. 5.1 If y 4 > y 4 sw, the submerged flow is SO. The SO flow is computed applying equations 111 and 112. C co is interpolated as needed to make the transition at the boundary smooth.

    5.2 If y 4 less than or equal to y 4 sw, the submerged flow is SW. The SW flow is computed applying equations 113 and 114. The procedure returns to step 4 for the next downstream water-surface height and the computations continue.
  7. For this case, the FW flow can only transition to SW flow for a constant upstream water-surface elevation. The SW flow is computed applying equations 113 and 114. The procedure returns to step 4 for the next downstream water-surface height and the computations continue.
  8. FO flow can only transition to SO flow for a constant upstream water-surface elevation. The SO flow is computed applying equations 111 and 112. The procedure returns to step 4 for the next downstream water-surface height and the computations continue.
This outline of the solution process suppresses the details of storing the flows and the proper water-surface elevations in the 2-D tables. The computations are extensive, and many of the equations must be solved using an iterative process such as Newton's method or the method of false position. If 5 gate openings and 15 upstream water-surface elevations are considered, and 15 flows are computed for each upstream water-surface elevation, then 1,125 values of flow must be computed with the UFGATE command (section 5.20).

Precise definitions of the point of transition between the flow regions in figure 16 are used in the solution procedure. These transitions are not precise when observed in the field. The level of submergence of the emerging jet required to affect the flow during FO flow is unclear. The pressure distribution at small levels of submergence of the jet is not hydrostatic. If accurate field measurements are available to define this transition, then the procedure can be modified to more accurately define the point of transition. It also is assumed in the transitions from weir flow that the critical depth, as computed from 1-D flow theory, defines the contact with the gate lip. This probably is not true. Streamline curvature as the water approaches the gate opening will cause the pressure distribution in the flow to deviate from hydrostatic. The water surface will be strongly curved, and detailed knowledge of the gate arrangement is needed to define the actual point of contact. It also is possible that the point of transition from FW to FO may differ from the point of transition from FO to FW. The point of transition may depend on the direction of movement of the water surface. Only careful measurements in the laboratory or field can refine the assumptions applied here.

4.8.6 Interpolation for Flows at Nontabulated Gate Openings

Interpolation between tables of type 13 must be done to define the flows at gate openings that fall between the gate openings selected for the 2-D tables placed in the table of type 15. Straightforward linear interpolation on the gate opening results in large errors when the flow class changes within the interval of interpolation. As an example, if tables of type 13 have been computed at gate openings of 2 and 3 ft, it is possible that interpolation at an opening of 2.5 ft would indicate FO flow in the table for the 2-ft opening and FW flow in the table for the 3-ft opening. A means to develop, conceptually at least, an intermediate table complete with flow boundaries, computed from the tables below it and above it in gate-opening sequence, is needed.

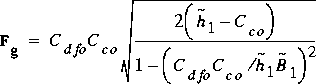
The approach for this interpolation is developed from a special case of the governing equations. In this special case the bottom elevation at all the key sections is the same ( z 1 = z 2 = z 3 = z 4 ). Further, it is assumed that the approach and departure sections are rectangular, that the contraction coefficient is at most a function of the piezometric head at section 1 relative to the gate opening, and that This is the Greek letter Alpha 1 = This is the Greek letter Beta 4 = 1. The gate-opening Froude number for orifice flow, F g, is approximated as

(115)

Equation

Applying this Froude number to describe the flow transforms the governing equation for FO flow to

(116)

Equation ,

where Equation , Equation , and B 1 is the channel width at section 1. In this form, the gate-opening Froude number is constant if the gaterelative head at section 1 is a constant.

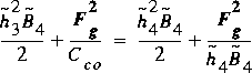
The conservation of energy equation for SO flow then becomes

(117)

Equation

and the conservation of momentum equation becomes

(118)

Equation .

The symbols with the tilde are taken relative to the corresponding dimension of the gate opening. These equations indicate that the gate-opening Froude number is a constant if the gate-opening relative heads at sections 1 and 4 are held fixed.

If all sluice gates were accurately described with the simplifying assumptions, then only one table of type 13 would be needed to represent the flows for all nonzero gate openings. This also implies that the boundaries between different flow classes, expressed relative to the gate opening, would be constant. Most sluice gates only approximately satisfy these simplifying assumptions. The approach and departure sections are only approximately rectangular. Also, the bottom elevations are frequently not all the same. A gate sill may be used to raise the gate opening above the bottom of the approach channel. Furthermore, it is often true that the bottom of the departure channel may be below the gate opening to help stabilize the hydraulic jump. These deviations from the simplifying assumptions cause (1) the gate-opening Froude number to vary slightly even when the gate-opening relative heads are held constant, and (2) the boundaries between the flow regions to vary with gate opening. The simplifying assumptions are even less appropriate for tainter gates because, in addition to the problems at sluice gates of varying bottom elevations for the approach and departure sections and nonrectangular approach and departure sections, the flow contraction coefficient varies with the lip angle for tainter gates.

Because the simplifying assumptions previously described only approximately apply to sluice gates and tainter gates, linear interpolation is used on gate-opening relative values to approximate the variations with gate opening in FEQ and FEQUTL. In addition to the 2-D table number for each gate opening, type 15 tables contain three values that define key points on the boundaries between the flow classes. These are the head at section 1 at the upper limit of FW flow, the head at section 4 at the upper limit of FW flow, and the head at section 4 on the boundary between SW and SO flow midway between heads at section 1 of h g and h 1 fwul . These heads are all expressed relative to the gate opening.

The look-up procedure is as follows:
  1. The interval in the type 15 table that contains the current gate opening, h g, is determined. The table with a gate opening less than h g, h gL , is the left-hand table, and the table with a gate opening greater than or equal to h g, h gR is the right-hand table.
  2. The three key points on the boundaries between flow regions are interpolated with respect to gate opening. The interpolated gate-opening ratios are then multiplied by hg to obtain the actual values of h1fwul, h4fwul, and h4swso.
  3. If Equation and Equation are in the weir-flow region, defined in figure 16, the weir-flow values from the right-hand table are applied. Otherwise, the procedure continues to step 4.

  4. If this step is applied, the flow is orifice flow. The heads used for interpolation in the tables are computed. The heads at sections 1 and 4 for the left-hand table are Equation = Equation and Equation = Equation , respectively. The heads for the right-hand table are computed in a similar manner for the right-hand gate opening.

  5. The flow rate is determined from each table, and the gate-opening Froude number is computed for the left- and right-hand tables. The gate width is taken as 1.0 for this purpose. The actual width is not important.

  6. Linear interpolation on gate opening is applied to compute the gate-opening Froude number for hg. The flow for the gate opening is then computed.
This approach for interpolating flow values for nontabulated gate openings is more complex than simple linear interpolation on gate opening, but errors resulting from simple linear interpolation across the weir-flow and orifice-flow boundary are avoided with few exceptions. The exceptions result because linear interpolation for the boundary-point ratios are not exact. Some mixed interpolations for orifice flow also may result where one of the tables indicates SO flow and the other indicates FO flow. This results close to the boundary and is caused by the inexactness of linear interpolation in the tables. However, the effect of these exceptions should be small if the flows of interest are away from the boundaries between flow classes.
4.8.1 Free-Orifice Flow
4.8.2 Free-Weir Flow
4.8.3 Submerged-Orifice Flow
4.8.4 Submerged-Weir Flow
4.8.5 Outline of Solution Process for Underflow Gates
4.8.6 Interpolation for Flows at Nontabulated Gate Openings

[Next Section] [Previous Section] [Table of Contents]