[Next Section] [Previous Section] [Table of Contents]

Full Equations (FEQ) Model for the Solution of the Full, Dynamic Equations of Motion for One-Dimensional Unsteady Flow in Open Channels and Through Control Structures

U.S. GEOLOGICAL SURVEY WATER-RESOURCES INVESTIGATIONS REPORT 96-4240

8.1 Internal Boundary Conditions


The flow paths, each having two equations that describe the motion of water, are connected by special features. These special features compose the internal boundary conditions for the solution of the matrix describing the flow and connections in the stream system. Each internal boundary connects two or more flow paths because a special feature comprises a junction among at least two branches, dummy branches, and (or) level-pool reservoirs.

In the input to FEQ, the various internal and external boundary-condition options are referenced by a combination of a Network Matrix Control Block code number and a type number as listed in table 3. The details of the Network Matrix Control Block input are given in section 13.6, but table 3 is presented here to provide an overview of the following sections. In each heading in table 3, a listing of the codes and types is given for convenience in cross-referencing to the input description, the input, or the source code of the FEQ program.

The internal boundary conditions all reference flow-path end nodes on branches, dummy branches, and level-pool reservoirs. On the flow path, each end node has a nominal designation of upstream or downstream; although the water may flow in either direction, the designation of the end node stays the same. The same rules apply to internal boundary conditions; for some conditions, nominal designation of one end node as upstream and another as downstream is appropriate for convenience in referring to the end nodes and the application of values at those nodes. If it is necessary to refer to an end node in relation to the direction of water flow, then an adjective can be used to distinguish the nominal use of the node from the actual use. Finally, the designation attached to the node also is context relative. When referring to an internal boundary condition, the designation of a node is relative to the special feature of the stream system for which the condition is required. For example, consider a junction between two branches consisting of two flow-path end nodes, one from each of the branches. The junction is used in simulating an overflow dam at the junction. In describing the flow over the dam, one of the nodes in the junction is designated as the upstream node and the other as the downstream node. It is not important what node is selected for each use; but once selected, that designation must be applied consistently for the dam. Typically, the upstream node for the dam also will be the downstream node on the branch bringing water to the dam. In the same way, the downstream node for the dam also will be the upstream node for the branch taking water away from the dam. In some cases, to simplify the equations, this order must be maintained for a special feature. In other cases, however, the order is not prescribed.

The mathematical notation for the hydraulic characteristics in this section on internal boundary conditions becomes complex because many concepts must be distinguished. To simplify the notation, the arguments for the cross-section characteristic functions--area, conveyance, and so forth--are often omitted when the subscript on the element symbol makes the argument clear. In all cases, the subscript on the symbol denotes the cross-section location for the characteristic denoted by the symbol. For contexts where the argument-value location differs from the location given by the subscript on the symbol, the argument is given.

The internal boundary conditions can conveniently be divided into two classes: those that relate to the conservation of mass and those that relate to water-surface elevations and flows. This classification is done because the conservation of mass must be satisfied at all junctions. In contrast, numerous choices are available for the relations between water-surface elevations and flows.
Table

8.1.1 Conservation of Mass: Code 2

As mentioned previously, the physical size of the special feature represented with the internal boundary condition is small relative to the physical size of the branches, so changes in volume of water can be ignored in model simulations. Thus, in accordance with the conservation of mass relation, the sum of flows of water at any internal boundary must be zero if the flows are properly signed. By convention, a sign is given to each flow-path end node in a schematized stream system. The downstream end node is positive, and the upstream end node is negative. The conservation of mass (continuity) equation at each internal boundary is then

(89)

Equation ,

whereEquation is the flow at the i th flow-path end node, nj is the number of flow-path end nodes at the junction, and the sign function for the flow-path end node, signi, is taken as -1 for an upstream end and +1 for a downstream end. Equation 89 is applied at each internal boundary.

8.1.2 Elevation-Flow Relations

Only one conservation of mass relation or equation is needed at each internal boundary, but many water-surface elevation-flow relations are possible. The number of these relations depends on the number of flow paths that form the junction. If n j flow-path end nodes are at the junction, then n j -1 relations between elevation and flow must be given. Adding the conservation of mass relation to these yields a total of n j relations for a junction connecting n j flow paths. All that these relations have in common is that a relation between water-surface elevations at an internal boundary is provided. The flows for one or more connecting flow paths also are involved in many of the relations. For convenience the relations can be divided into groups based on how many flow-path end nodes are involved and whether fixed- or variable-geometry relations are involved.

8.1.2.1 Fixed Geometry

A fixed-geometry elevation-flow relation results at a structure or natural feature in the stream at which the relation between flow and elevation is independent of time. In FEQ, these are described as control structures even though no physical structure may be present. This is done because the hydraulic effects are the same whether the feature is natural or constructed.

8.1.2.1.1 One-Node Control Structures: Code 4, Types 1-3; Code 8

The simplest relations are those involving the elevation at a single flow-path end node and the flow at that node or, in some cases, at another flow-path end node. Use of a one-node relation implies that conditions at other end nodes in the junction have no effect on this relation. An example of a one-node relation is flow over the spillway on a dam that is so high that the tail water does not affect the discharge. Thus, the control is complete, meaning that knowledge of the water-surface elevation at the flow-path end node completely specifies the value of the flow at that node. In the general case, the flow-path end node specifying the elevation of the water surface and the flow-path end node specifying the flow can be distinct. To denote these nodes clearly, q is the subscript for the flow-path end node at which the flow is defined, and h is the subscript for the flow-path end node that defines the head for the relation between elevation and flow. The generic equation for all one-node relations is

(90)

Equation,

whereEquation is the function defining the flow for each water-surface elevation. The source of this function depends on the situation. It could represent flow over a weir, flow over a spillway, a stream-gage rating curve, a normal-depth rating curve, a critical-flow rating curve, or some other condition. The source for defining the function is not needed in equation 90. As outlined later, various options for the source of the function in equation 90 are provided in FEQ.

Equation 90 does not include information on the direction of the flow. Information on direction of flow in a branch, a dummy branch, or a level-pool reservoir is contained in the sign of the flow at the end nodes on the flow path. If the sign of the flow is positive, then the flow is from upstream to downstream. If the sign of the flow is negative, then the flow is from downstream to the upstream. However, the sign must be specified in the model when the flow is leaving or entering the discharge node for the control structure. The numbers tabulated in a 1-D function table (sections 3.2.1 and 11.1) to represent the function fq in equation 90 do not specify a direction relative to the discharge node. The user must specify the direction of flow that the numbers in the table represent. Direction is given as -1 if a positive number in the flow table represents flow out of the flow path where the discharge node is located and as +1 if a positive number in the flow table represents flow into the flow path on which the discharge node is located. If DD is the direction of flow specified by the user and Dq is the flow-node sign computed in FEQ simulation, then the sign the flow at the discharge node must have isEquation , and equation 90, expanded to represent the flow direction as well as the flow magnitude, becomes

(91)

Equation.

8.1.2.1.2 Two-Node Control Structures: Codes 3 and 5

For one-node control structures, the relation between elevation and flow is not affected by changes downstream from the special feature (no backwater effects from the tail water). In many real-world cases, however, backwater does affect flow at control structures, so simulated control structures are provided in FEQ that are subject to effects from a downstream water level. One of the two flow-path end nodes included in the structure must specify the flow through the structure. This end node is called the discharge node because the flow that passes through, under, or over the structure is specified at this node. The upstream node and the downstream node for two-node control structures are specified by the user. If DC is the control-structure sign, then DC is +1 if the discharge node is the upstream node and DC is -1 if the discharge node is the downstream node. A flow sign is defined in the model for two-node control structures, but it differs slightly from the flow sign for a one-node control structure. If DF is +1, then the flow is from the upstream node to the downstream node; otherwise, the flow is from the downstream node to the upstream node.

8.1.2.1.2.1 Same Elevation: Code 3
In the simplest two-node relation, the water-surface elevation must be the same at the flow-path end nodes at all times and for all flows; that is,

(92)

Equation,

where the subscripts L and R denote the two flow-path end nodes. This relation is useful for a simple junction.

Forcing the water-surface elevations to be the same at the flow-path end nodes with this code must be done with care. If the velocity head at the node downstream from the junction is greater than that at the node upstream from the junction, then energy is not conserved. Normally, the downstream flow area should be greater than the upstream flow area, and, if the flows do not differ markedly at the two nodes, a small amount of energy will be lost between the two nodes; this computational result is physically realistic. Otherwise, if the downstream flow area is smaller, then mechanical energy will be added to the system; this result is physically unrealistic. If this addition is large enough, the computations will fail. In other cases, incorrect answers will result because the internal boundary condition is unrealistic.

8.1.2.1.2.2 Flow Expansion.Code 5, Type 1

In the motion equation for a branch, the loss terms that relate to the additional losses (in excess of those from boundary resistance) represent the effects of gradual changes in cross section. The possibility of critical depth within a branch is not checked. Locations along the stream where change in section size is large enough to potentially result in critical flow must be isolated and represented as special features. If the flow expands in area as it moves from the upstream node to the downstream node of the control structure, the transition sign, DT, is set to +1; otherwise, DT is -1. It is convenient to define yet another sign for two-node control structures; this is the system sign, DS, which equals DqDC. If Qq is set equal to the flow value at the discharge node, then DF equals sign ( Qq ) DS. This establishes the direction of flow relative to the upstream and downstream nodes of the control structure.

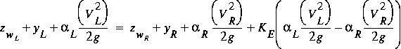
If the flow is expanding, the losses will be larger than if the flow is contracting. Therefore, the user must supply the transition sign, DT, and the values of the loss coefficients to be applied for each direction of flow in the control structure. Let K + equal the head-loss coefficient when the flow is from the upstream node to the downstream node for the control structure ( DT = +1) and K - equal the head-loss coefficient when the flow is from the downstream node to the upstream node for the control structure ( DT = -1). Further, let KE equal DF DT K + if DF > 0 and KE equal DF D T K- otherwise. With these terms defined, the equation defining the relation between variables at the upstream node and the downstream node for the control structure when the flow is subcritical is

(93)

Equation .

Here the subscripts L and R refer to the upstream node and downstream node for the control structure, respectively. Recasting equation 93 into a more symmetrical form results in

(94)

Equation ,

the equation used in FEQ simulation when the flow is subcritical. The left-hand side of equation 94 is denoted by z lhs and the right-hand side by z rhs . Values for these variables are used later in this section in checking for submergence of critical flow.

Critical flow can result in a transition at the smaller section. If the flow is expanding, then the critical section will be at the inflow cross section; and if it is contracting, the critical section will be at the outflow cross section. The following is done in simulation, given the information at only two flow-path end nodes:

  1. The critical flow is detected, and the relation defining the flow is changed to represent critical flow.
  2. The condition at which critical flow is drowned by downstream conditions is detected, and the relation is changed to represent subcritical flow.
If the flow is expanding, then two flow-path end nodes are sufficient for the functions listed above. The critical control is at the smaller section, and critical flow can be forced at the inflow end node. The outflow end node, at the larger section, reflects the conditions downstream and is used to detect submergence of the critical control. No expansion losses result when critical control is present because the water-surface elevations at the two flow-path end nodes are independent.

A classic example of flow expansion is an abrupt drop in the channel, such as at a drop structure, a waterfall, or a steep but short rapids. At low flows, critical control is present at the head of the drop; however, as the flow increases, tail water may eventually drown the critical flow section. When the critical control is present, the elevation of the water at the foot of the drop is determined by conditions downstream. Thus, only two flow-path end nodes are needed to both detect the formation of the critical control and detect its submergence.

If the flow is contracting, however, two flow-path end nodes are not sufficient for simulation of critical control. In a contracting flow, the water-surface elevation may decline substantially as the water accelerates to the smaller section. Substantial energy losses also may occur in the contraction. To include both of these effects, both nodes must be used: one for the conditions at the larger section and the other for the conditions at the smaller section. However, once the flow becomes critical at the outflow end node, there is no way to detect when the flow will be drowned because both flow-path end nodes are already in use and no node is available to represent tail water at the critical control. Rather than add some special nodes, the critical control is represented in both cases with only two flow-path end nodes. The representation of the critical flow in a contracting flow does not include the contraction losses or the decline in water-surface elevation. Therefore, contractions where critical flow may be present should not be represented with equations 93 and 94. An alternative representation that applies an explicit description of the flow through the transition for all conditions of flow is provided in FEQ and is discussed below in section 8.1.2.2.2.1. The alternative representation of contracting flow should be applied for all cases where critical flow is possible, and it is generally recommended for contracting flows subject to a wide range of flows.

To detect critical flow, the critical flow is estimated in simulation as equation 94 is solved. If the flow at the discharge node is greater than the estimated critical flow, a critical control is applied in the model at the node upstream from the control structure, using the cross-sectional characteristics from the smaller of the two cross sections. If the subscript c denotes the values at critical flow, then application of

(95)

Equation

results in the flow at the discharge node being equal to the critical flow in the critical section. In computing the critical flow, it is assumed that b = 1.

The state of the transition (critical or subcritical) is recorded internal to the model simulation. If the state is subcritical, flow conditions are checked to determine whether the transition should be switched to critical as just outlined. If the state is critical, then the critical control is checked to determine whether it will be drowned from downstream. LetEquation be the water-surface elevation at the critical control. IfEquation (meaning flow from upstream node to downstream node for the control structure), then the control is drowned ifEquation . For flow in the other direction ( D F < 0 ), the control is drowned ifEquation .

The equations outlined here function properly only if the transition does not change; that is, if the user denotes the transition as an expansion, then the flow must expand for all flows. This assumption is violated for some transitions. For example, consider the flow in the departure reach of a culvert. At low flows, the channel downstream from the culvert may be smaller than the cross section of the culvert barrel. Thus, a flow contraction results at low flows, whereas a flow expansion results at higher flows and defines the dominant transition at this location. In such cases, computational convergence problems may result, or the computed solution may not be valid. As already noted, this approach should not be used if a contracting flow becomes critical or if the variation of b affects the value of critical flow. For these cases, an alternative is provided in section 8.1.2.2.2.1.

8.1.2.1.2.3 Bi-Directional Flow with Pump or Simple Conveyance: Code 5, Type 2

This option is used to represent the flow of water between the main stream channel and storage areas adjacent to the stream. These storage areas may be natural slack-water areas that fill during high flows or constructed offline flood-control reservoirs.

Constructed offline flood-control reservoirs are typically connected to the stream by flow over a side weir, spillway, roadway embankment, or similar structure. The flow over this structure is approximated by a weir equation. During a flood, flow at this structure may be out of the stream as stage increases and into the stream as stage decreases. The bottom of the reservoir typically will be deeper than the normal water-surface elevation in the stream to maximize flood-control effectiveness. Therefore, pumps must be used to completely drain the flood- control reservoir after the flood has passed. This flood-control method can be represented with the bidirectional flow with pump option. In this option, only pumps that yield constant flow independent of head with simple rules for starting and stopping can be simulated.

Flow over the weir, Q w, is specified by use of tables given by the user. Four tables must be given; two for each direction of flow. The first of the two tables lists the flow as a function of head, and the second lists the submergence factor as a function of submergence ratio. If z m is the minimum elevation of the weir, h w is the piezometric head on the weir, and d is the piezometric head of the tail water on the crest of the weir, then for flow from upstream node to downstream node for the weir (left to right),Equation andEquation . The defining equation for flow over a weir is

(96)

Equation ,

where f Qud denotes the table of flow and f Sud denotes the table of submergence factors for flow from upstream node to downstream node. For flow in the opposite direction the equation changes to

(97)

Equation ,

where f Qdu denotes the table of flow and f Sdu denotes the table of submergence factors for flow from downstream node to upstream node. In this latter case, the heads becomeEquation andEquation .

Pumping is specified when a pumping rate is input,Equation . If Q P is greater than zero, then the pumped flow is from the upstream node to the downstream node of the pump; otherwise, the pumping is in the opposite direction. If the pump is on, then the pumped flow, with the proper sign, is added to the flow computed over the weir. If the pump is off, then it is turned on whenever water is available at its source node and capacity is available at the destination node to accept water. If the pump is on, then it is turned off if the water is no longer available at the source node or if capacity is no longer available at the destination node to accept water. The values controlling the pump are supplied by the user and are described in the "Input Description for Full Equations Model" (section 13.6).

Natural storage areas may be represented by level-pool reservoirs where the inflow and outflow is controlled primarily by boundary friction in the channels connecting the storage areas to the stream. The effects of inertia in the connecting channels are negligible. Thus, a connecting channel can be represented with the simple conveyance option.

A table describing the conveyance function and the distance for converting the difference in elevation between the upstream and downstream nodes for the conveyance channel to a water-surface slope must be input in the simple-conveyance option. IfThis is the Greek letter Delta x c is the distance between the two nodes,Equation is the negative of the water-surface slope between the two nodes,Equation is the average water-surface elevation between the two nodes, and f k( z w ) is the conveyance function for the flow path between the two nodes, then the flow is defined by

(98)

Equation ,

ifEquation and

(99)

Equation

otherwise. Equation 99 is applied to linearize the near-zero flows to avoid convergence problems at small water-surface slopes.

8.1.2.1.2.4 Abrupt Expansion with Lateral Inflow/Outflow: Code 5, Type 5
Abrupt expansions are sometimes used to reduce the velocity of water in a stream channel so that water can be diverted more easily. Because the expansion is abrupt, the conservation of momentum principle can be applied to describe the flows. The abrupt expansion can be either an increase in width, a drop in the bottom of the channel, or both. The following conditions apply to the relations used in FEQ simulation:
  1. No reverse flow is possible at the upstream node; however, the flow can reverse at the downstream node.
  2. End nodes on branches must be specified such that the upstream node of the control structure is the downstream end node on the branch bringing water to the structure, and the node specified as the downstream node of the control structure is the upstream end node on the branch taking water from the control structure.
  3. Friction and gravity forces are ignored in the control volume describing the abrupt expansion for the momentum balance.
  4. The node designated as the discharge node must be the upstream node for the structure.
  5. The diversion channel is assumed to be perpendicular to the flow through the control structure. The mouth of the diversion channel is designed to minimize separation of the water from the wall of the channel as water flows into it.
As the water enters the diversion channel, it must change flow direction by 90 degrees. This change is accomplished over some distance in the source and diversion channels. In this region, the velocity is constantly changing direction as well as magnitude, so estimating the streamwise momentum flux that enters the diversion channel cannot be done simply. Therefore, the boundaries of the control volume (fig. 15) for application of the momentum balance must include some part of the diversion channel. The control volume must include sufficient length of the diversion channel so that the velocity in the channel is again adequately described as 1-D. One problem is exchanged for another in this control-volume choice because the water in the diversion channel will have a cross slope on the surface for some distance downstream from the mouth. The cross slope results in an upstream component of hydrostatic-pressure force in the direction of application of the momentum balance. Including this force in the balance is difficult because no methods have been established for estimating it. Therefore, in this simple analysis, this force is omitted. A well-designed entrance will reduce the length of flow required for the velocity to become virtually parallel to the diversion walls and, as a consequence, will reduce the magnitude of the neglected hydrostatic-pressure force.

Application of the momentum balance to the control volume shown in figure 15 yields

(100)

Equation ,

where J R is the first moment of area function at the downstream node (cross section). If water is being diverted or added,Equation . Equation 100 is applied when no critical control is present. A critical control, if present, will be at the upstream node. In all cases, the user must supply a 1-D table (section 11.1) defining a function specifying critical flow at the upstream node. This function is denoted byEquation .

If Q L is greater thanEquation , then critical flow is established at the upstream node by requiring thatEquation and the state of the flow is changed to critical. The critical flow is drowned in model simulation if the water-surface elevation at the downstream node becomes too high. Two criteria are used for determining whether critical flow is drowned: one criterion is quick and easy but not always correct, and a second that is more complex but is always correct (given the assumptions above). The first criterion is that ifEquation is greater than or equal toEquation , then critical flow is retained; that is, the tail water elevation must become higher than the elevation of the water surface at critical depth before the critical control is drowned. If the tail water is higher than the critical-flow water surface at the upstream node, equation 100 is applied to define the residual function

(101)

Equation .

The second criterion is that ifEquation < 0, where the subscript c denotes the critical state, the critical flow is drowned and the flow state is changed to subcritical in the FEQ calculations.

8.1.2.1.2.5 Explicit Two-Dimensional Flow Tables: Code 5, Type 6

Certain special features are difficult to represent within an unsteady-flow analysis because the hydraulics of those features are not well understood. The values of flow computed with the appropriate equations at a boundary between two flow types often are substantially different. This difference presents little problem for manual computations because the analyst merely smooths over the discontinuity. Such smoothing, however, is difficult to do properly within the computational scheme of a computer program for simulation of unsteady flow. The relations used for special features in FEQ are derived from steady flow. In principle, these relations can be computed over the necessary range of the independent variables to define the relation in tabular form. Thus, the computations are done only once instead of possibly thousands of times during the computation of the unsteady-flow results.

In the approach applied in FEQ simulation, FEQUTL or some other means is used to compute tables of numerical values, arranged in a predefined order, so that the values needed in the computations can be quickly found. The resulting tables are called 2-D tables because they include two independent variables. The tables referenced earlier are 1-D tables because they include only one independent variable. Two types of 2-D tables are supported in FEQ: the first, given the table type number 13, uses piezometric head at two nodes to estimate the flow rate at the discharge node, and the second, given the table type number 14, uses piezometric head at the downstream node and the flow at the discharge node to estimate the piezometric head at the upstream node. [NOTE 3] The goal of using explicit 2-D tables is to circumvent the difficult task of providing the smooth flow relations needed to avoid convergence problems in the iterative solution process. Thus, the source of the information in these tables is not needed in FEQ simulation. The tables can be computed in FEQUTL, in some other computer program, or even manually.

Any smoothing of the transition between flow types or classes is done at the time the 2-D table is computed. The facility to create these tables is available in FEQUTL (Franz and Melching, 1997) for flow over complex weirs, flow through culverts, flow through expansions and contractions, and flow through prismatic channel segments. Details of these computations and of the definition of the format and logical structure of 2-D tables is contained in the "Input Description for the Full Equations Model " (section 13).

The defining relation for the tables having arguments of piezometric head (type 13) is

(102)

Equation ,

where

f i is the function giving flow through structure i that conveys flow between the upstream and downstream nodes of a special feature in the stream system;
Equation is upstream piezometric head relative to the head-reference point,Equation , for structure i;
Equation is downstream piezometric head; and
m c is the number of control structures conveying water between the two nodes.

The flow paths through the structures at the special features are in parallel and the flow in any specific path is not retained in the simulation. All flows are automatically summed to the value of flow at the discharge node. One application of multiple flow paths in parallel is the hydraulic representation of a multibarrel culvert with barrels of different diameter, invert elevation, and composition. Thus, one barrel could be flowing full while another is flowing partly full. One way of representing such a culvert in FEQ would be to compute a 2-D table having arguments of piezometric head (type 13) for each barrel, prepared by use of the options in FEQUTL. Each table can be computed independently. In the model, the flows will be allocated to each path according to the characteristics of each table. Care must be taken in applying this method if the approach velocity to the culvert is a significant factor in the capacity of the culvert.

The defining relation for tables having arguments of downstream piezometric head and flow at the discharge node (type 14) is

(103)

Equation ,

where f 14 is the function that yields the head at the upstream node given the piezometric head at the downstream node and the flow at the discharge node. In this option, only one structure can connect the two flow-path end nodes because head, unlike flow, is not additive. This option is complicated by a special case that must be isolated and treated separately; neither piezometric head may be above the head-reference point. This head relation indicates that the flow at the discharge node is zero, but this situation is not described in equation 103. In this special case, the relation becomes simply, Q q = 0.

8.1.2.1.2.6 Conservation of Momentum/Constant Elevation: Code 11
In this option, momentum is conserved if there is an inflow of water between the two flow-path end nodes, and water-surface elevation is constant if there is an outflow of water. The assumptions for this option are the following:
  1. The cross sections at the two flow-path end nodes are identical.
  2. The bottom-profile elevations for the cross sections at the two flow-path end nodes are identical.
  3. The inflow of water is perpendicular to the flow direction between the two flow-path end nodes. Any forces in the flow direction originating from the channel providing inflow are ignored.
  4. Friction and gravity forces are ignored in the momentum balance.
If there is inflow, the defining relation is

(104)

Equation ,
and if there is outflow, the relation is

(105)

Equation .

This option could be used to represent an inflow of water to the stream that flows over a high spillway or waterfall and then enters the stream. As stated in section 1.3, conservation of momentum is the preferred method in this case.

8.1.2.1.2.7 Conservation of Momentum/Energy: Code 13
Update available for explicit specification of one or two nodes for inflow

In this option, momentum is conserved if there is an inflow of water between the two flow-path end nodes, and energy is conserved if there is an outflow. The assumptions are the same as in the preceding section. The momentum balance is equation 104. The energy-balance relation is

(106)

Equation .

Flow over a side weir is commonly approximated by assuming that the specific energy is unaffected by the outflow of water because the outflow is smooth. Therefore, flow over a side weir is simulated with this option, in conjunction with codes 2 and 14.

8.1.2.1.3 Three-Node Control Structures

Many physical features in a stream system can be represented with one- and two-node control structures, but certain features will require access to more than two flow-path end nodes at one time. Simulation of these features is discussed in this section.

8.1.2.1.3.1 Average Elevation at Two Nodes: Code 12
When water enters a stream perpendicular to the flow, use of the option for conservation of momentum/elevation or momentum/energy may result in differences in the water-surface elevation at the two flow-path end nodes bounding the special feature. If the inflow enters from a channel that is affected by the water-surface elevation in the receiving stream, then a choice must be made as to which of the two elevations should be used. An average value of these two elevations may be used in this code as the elevation that affects the flow in the side channel. The average is specified by a user supplied weight, W E, that applies to the elevation at the upstream node. The weight must be 0 W E 1 to yield a valid average. In the following discussion, the upstream node and the downstream node for the special feature continue to be denoted by the subscripts L and R, respectively. The third node is denoted by the subscript M, indicating a middle location. The equation used for this code is then

(107)

Equation .

8.1.2.1.3.2 Flow Over a Side Weir: Code 14
Side weirs are sometimes used to divert water from streams during high flows to reduce flood damages downstream. The diverted water may enter a reservoir or an additional channel that conveys the water around the protected area before rejoining the stream. The general character of these flows is understood (Henderson, 1966, p. 273-275); however, quantitative values for key coefficients are not well known. The only side-weir flows of interest in FEQ simulation are those that maintain subcritical flow throughout all flow conditions. (Cases of supercritical flow and of hydraulic jumps along the side weir are excluded from analysis because of their complexity.)

Flow of water over a side weir is generally smooth and gradual, so energy loss is minimal. In addition, if the channel slope is near zero and the channel resistance is small, the energy content per unit volume of water in the channel is changed little by the loss of water over the side-weir crest. This observation indicates that the specific energy of the water in the channel is virtually constant along the weir. Because the flow is decreasing in the downstream direction, the water surface must rise to maintain the constant specific energy with a decreasing velocity head. The velocity distribution in the source channel undergoes a change along the weir. As water is removed, the velocity on the bank opposite the weir is retarded; and, if the diversion over the weir is more than about 50 percent of the approaching flow, separation occurs near the downstream end of the weir and a reverse eddy forms, at least in the surface layers of the flow (El-Khashab and Smith, 1976; Tynes, 1989). Measurements made by El-Khashab and Smith (1976) indicated that a and b increase along the side weir in the direction of flow. They also noted that the higher velocity zones of flow in the source channel, which carry greater energy content per unit volume over the weir, are removed by the weir. This preferential removal of high-energy-content water leads to some reduction in the specific energy of the flow remaining in the source channel. Therefore, El-Khashab and Smith (1976) argued for the application of momentum conservation as the preferable alternative to specific-energy conservation. The momentum content removed by the water leaving the channel must be estimated for application of the momentum-conservation principle. El-Khashab and Smith developed simple means for estimating the momentum flux over the weir, but the results were for a sharp-crested weir and are of limited utility in applications to prototype stream systems.

Most of the work reported on flow over side weirs is for sharp-crested weirs, whereas most prototype systems use broad-crested weirs, at least for flood-control structures. Only the report by Tynes (1989) contains measurements for flow over a broad-crested side weir; however, his analysis was limited, and most of his results are specific to the particular configuration tested. Data on the performance of broad-crested weirs of the type most likely to be represented in applications of FEQ are scarce. Therefore, the techniques outlined here are best used in preliminary analyses. Whenever possible, physical-model tests should be made on side weirs to ensure that they will function as planned. The work by Tynes (1989) also could be used if the characteristics of the side weir are in the range of variables tested.

This brief discussion indicates that flow over a side weir is one of the more complex flows to simulate in 1-D, unsteady-flow analysis. Various approximations have been applied, but no consensus is apparent in the literature about the best method. Head will vary along the weir, but in FEQ simulation, a detailed integration along the side weir cannot be done; however, the major features of side-weir flow for subcritical flow along the weir are included in FEQ simulation.

In theory, the flow over the side weir, Q SW, may be computed as

(108)

Equation ,

where l is the distance measured along the side weir with l = 0 at the upstream end of the weir; hSW( l ) is the head on the side weir given by y( l ) - hSW( l ), where y( l ) is height of the water surface above the channel bottom and hSW ( l ) is the height of the weir crest above the channel bottom; CSW( l ) is the side-weir coefficient, which varies with distance; qSW( l ) is the rate of outflow per unit length of side weir; and L is the length of the side weir.

In steady-flow analysis, equation 108 is combined with some form of the energy- or momentum- conservation equation to solve for the water-surface profile along the weir and the flow over the side weir. Estimating the momentum content of the water flowing over the side weir is difficult, especially with broad-crested side weirs. Therefore, conservation of specific energy is probably the best choice for estimation of flow over a side weir. The integral in equation 108 is approximated by dividing the length of the weir into intervals. Within each interval, the flow is estimated by use of the midpoint head value in that interval. For example, if a single interval is used, the head at the midpoint of the weir is used to estimate the flow over the weir. To obtain the value of the head at the midpoint, a junction between branches is placed there so that the flow over the weir is simulated in the junction. (Side-weir flows are not permitted to enter the interior of a branch in model simulation.) This process can be refined so that the weir is divided into many intervals. In this way, the variation of head along the weir can be approximated. This process proceeds as follows:

  1. The number of equal-length segments applied to represent the side weir is selected. The number selected should be a small integer power of 2. More than eight segments makes the model input too complicated. No guidelines are available for deciding the best number of segments.
  2. The midpoint of each segment of the weir is marked.
  3. A junction is placed between branches at each midpoint. For a single interval, there will be two branches: one coming from upstream to the midpoint and the other leading downstream from the midpoint. For two intervals, there will be three branches: one coming from upstream to the upstream midpoint, one connecting the two midpoints, and one leading downstream from the downstream midpoint. The branches represent the channel shape and frictional characteristics. At each junction between branches, code 13 (conservation of momentum or energy) is applied to include the effect of water leaving or entering the channel. If water is leaving the channel, the specific energy is assumed to be conserved, so an increase in the elevation of the water surface will result. Although this increase results over the length of each weir interval, the increase is approximated as taking place at the midpoint of the weir interval in FEQ simulation. The head on the weir is computed from the average water-surface elevation at the ends of the two branches at each weir interval midpoint. The flow over the weir is given in a 2-D table that contains flows over the weir interval, computed under the assumption that the water surface is horizontal and that the weir is perpendicular to the flow. The velocity of approach is forced to be small in this computation. The flow over the side weir is different from the flow over a normal weir for the same water-surface elevation because the component of velocity along the side weir retards water from flowing over the weir. Thus, a correction must be made that depends on the flow characteristics at the midpoint of the weir interval.
  4. Code 14, for side weirs, is used to compute the flow for each weir interval and collect these flows by means of dummy branches in a manner appropriate to the application. Code 13 (conservation of momentum or energy) and code 2 (conservation of mass) are used to complete the description at each junction.
In FEQ simulation, the correction developed by Hager (1987) is applied to the normal weir coefficient to approximate the coefficient for each location along a side weir. This factor, w, is

(109)

Equation ,

where Fw is the Froude number of the channel flow relative to the head on the side weir,Equation . The correction was derived and tested by Hager on a sharp-crested weir, but Hager felt that it also would apply to a broad-crested weir. Tynes (1989) did a rough test of the Hager correction factor and concluded that results were erratic when applied to broad-crested weirs; however, Tynes found that the performance of the correction factor averaged over many tests reliably estimated the average value.

Application of the correction factor computed in equation 109 is most accurate when the bottom slope of the channel is small and the channel along the weir is prismatic. The 2-D tables for flow over a normal weir reflect the nature of the weir crest and possible weir crest slope along the channel. The correction factor adjusts for the state of the flow at the midpoint of each weir interval. Continuous variation of the hydraulic characteristics along the side weir is approximated in FEQ in a series of steps. The correction factor is always less than 1.0, and, therefore, the flow over the side weir is always less than the flow over a normal weir for the same upstream head.

LetEquation be the average water-surface elevation in the source channel defined by the user supplied averaging factor,Equation be the average piezometric head in the source channel, and zhsw be the elevation of the datum for defining heads. The middle node is the node on the flow path that receives the water flowing over the weir. Therefore, the middle node becomes the discharge node, as in a two-node control structure. Let the sign of this node be Dq in keeping with the notation used earlier. Also, letEquation = the head at the middle node. The relation defining flow leaving the source channel is

(110)

Equation fwEquation 0 ,

whereEquation is the Hager correction factor for side-weir flow computed at the average values at the upstream and downstream nodes and fEquation is the function defined by the 2-D table for outflow over the weir.
The equation for flow in the opposite direction is

(111)

fIEquation 0 ,

where fIEquation is the function defined by the 2-D table for inflow over the weir. No correction for side-weir flow is given in equation 111 because flow over the weir from the diversion channel is perpendicular to the weir.

8.1.2.2 Variable Geometry

For variable-geometry control structures, the relation between flow and water-surface elevation or the elevation of the reference point may change with time. This variation is specified in some cases before simulation. In other cases, the variation is determined during simulation on the basis of conditions detected at nodes within the modeled stream system. Some control-structure options support both modes of operation, but not simultaneously. It is convenient to divide the options on the basis of the number of flow-path end nodes needed to specify the flow.

Variation of the geometry of control structures can take many forms. A control structure on a stream may consist of several devices for regulating the flow of water; for example, turbines, sluice gates, and overflow gates at a single structure. In some cases, each of these devices would have to be modeled separately; however, specification of the rules of operation for all of these devices would be complex and would require that special-purpose programming be added to the software. To avoid this, simpler approaches producing adequate results are applied in FEQ simulation.

Often, the control of the flow in the model needs merely to be similar to what is possible or feasible in the prototype stream. Devices used to regulate the flow do not need to be specifically described in the model. The opening of sluice gates or overflow gates commonly has the same hydraulic effect and attains the same flow- regulation goal. Therefore, the kind of gate opened is a detail that can often be ignored in the analysis without negative effects on the results. For proper simulation, the operational rules must be stated in terms of the objectives to be met, not in terms of rules for specific gates. Given such operational rules, the flows that are possible must be determined in the simulation of the control structure. At least one configuration of gate openings that will match the flow at the control structure computed in the stream model must be possible.

8.1.2.2.1 One-Node Control Structures

To represent one-node control structures of variable geometry, the flow through the control structure is approximated as the product of two functions. The maximum-capacity function,
f m ( z w ), gives the maximum flow that can pass the control structure for a given upstream water-surface elevation. This maximum usually results when all gates are at the limiting position to pass maximum flow or when a pump is operating at maximum speed. The maximum-capacity function is the summation of all flows through the control structure at a common value of upstream water-surface elevation. A second function provides the proportion of maximum capacity presently used. This is the opening-fraction function, p (t), with an argument of time and a value that ranges from zero (when no flow results) to 1 (when the flow is at maximum capacity). The flow at the control structure, Q cs, at any time, t, and any upstream water-surface elevation, z w, is p (t) f m (zw).

A simple pump with rate limited by tail water (section 8.1.2.2.1.3) is an exception to the general approach to simulating variable-geometry structures as the product of two functions. For these pumps, the maximum- capacity function is compared to a flow-limit function resulting from tail-water effects, and the smaller flow from the two functions is applied in FEQ simulation.

8.1.2.2.1.1 Opening Fraction Given Beforehand: Code 4, Type 4
In this code, the opening-fraction function must be supplied as part of the input. The control-structure capacity will be varied as a function of time without regard to the flow conditions anywhere in the stream-system model. Consequently, this option should be used only when simulating the prototype system if the actual gate operation is known; for example, in simulation of historic floods. The defining equation is a simple modification of the equation for fixed geometry,

(112)

Equation .

8.1.2.2.1.2 Opening Fraction Computed in Full Equations Model: Code 4, Type 5
The applications in which the opening-fraction function for the control structure is known before simulation are limited to calibration of the stream model. Examination of design alternatives or operation-rule evaluations require that the opening fraction be computed in FEQ. This option is identical to code 4, type 4, except that the opening fraction is computed internally according to a set of rules given in an Operation Control Block (section 8.1.2.2.3). These blocks are discussed in sections that follow. The governing equation for this option is

(113)

Equation ,

where the opening fraction, p, is not shown as an explicit function because it is computed in FEQ from rules given in the input.

8.1.2.2.1.3 Simple Pump with Rate Limited by Tail Water: Code 4, Type 6
The last variable-geometry one-node control structure consists of a simple pump. The pump capacity is a function of upstream water-surface elevation only, but the pumping rate may be limited by tail-water elevation. Local drainage to a leveed stream often must be pumped into the stream because the levees or the current water level in the stream prevents gravity drainage. The rate of pumping into the stream may be regulated to prevent increases in the flooding. If this is the case, one or more detention ponds will hold the water from local drainage until it can be pumped.

In this option, the tail water is not simulated; rather, it is specified from some other source. The information on the tail water must be specified as a time series giving the tail-water condition used to control the rate of pumping. The tail-water condition can be flow, water-surface elevation, or water-surface height. Let f tw (t) be the function that gives the tail-water condition at any time t, and let Q p equal the allowed pumping rate. The tail-water-conversion function, f twc (xtw), where x tw is the tail-water condition, also must be supplied in the input. The tail-water-conversion function represents the limits on pumping rate resulting from tail-water effects as a maximum flow rate for a given tail-water condition. If the flow capacity for a given water-surface elevation at the head node,Equation , is greater than f twc [ftw (t)], then Q p = f twc [ftw(t)]; otherwise Q p =Equation . Then, the flow at the discharge node must be equal to the given pumping rate,

(114)

Equation .

8.1.2.2.2 Two-Node Control Structures

Variable-geometry structures whose flow properties are affected by both headwater and tail water (conditions at two flow-path end nodes) are common in river systems. Examples of such structures are sluice gates, variable-height weirs, and low-head spillways. The operation of variable-speed pumps is similar to that of variable-geometry control structures. The basic equations describing flow through these devices are presented in the following sections.

8.1.2.2.2.1 Explicit Two-Dimensional Flow Tables:Code 5, Type 6

Two-dimensional flow tables have already been discussed under "Fixed Geometry" because they are most often applied for that condition. However, two optional input items are provided in FEQ that can vary the geometry as a function of time. The first optional input specifies a 1-D table defining a function of time giving a multiplying factor to apply to all flow values derived from the 2-D table denoted by p (t). This optional input is appropriate only for 2-D tables of type 13 that return a value of flow. The second optional input specifies a 1-D table defining the elevation of the reference point for head as a function of time denoted by z h (t). The same governing equations are used as for fixed geometry except that the heads are computed with z h (t) as the reference level and the flow from the table is multiplied by p (t) before it is used in the equation.

Explicit 2-D tables with geometric variations as a function of time are useful for simulating conditions during a flood. The failure of parts of a levee can be approximated by varying the elevation of the reference point for head. The variation can be estimated from reports of the details of the flooding. The flow over the levee will be subject to submergence effects. The computation of the 2-D table must reflect the geometry of the levee and the assumed breach characteristics. Emergency measures during a flood can often involve installation of pumps and the installation of new flow paths, such as openings in levees, the addition of culverts to levees, and so forth. These special features change the stream, and the changes take place during the time period simulated. The function, p (t), allows these features to be placed in the model but keeps them inactive until they have been installed. The status and condition of these special features can be varied by properly defining p (t).

8.1.2.2.2.2 Variable-Height Weir:Code 5, Type 7

Several types of overflow gates can be approximated by a variable-height weir. The characteristics of a particular gate including the length, L G, and five functions describing certain characteristics (described below) must be specified in this option.

The first function is the gate-position fraction, denoted by p G (t), where 0 p G (t) 1 specifies the gate position. When p G (t) = 0, the gate is fully raised, and the minimum value of flow is simulated for a given upstream condition. When p G (t) = 1, the gate is fully lowered, and the maximum value of flow is simulated for a given upstream condition.

The second function is the gate-crest-elevation function, f gc ( p G ), which specifies the elevation of the gate crest for each value of the gate-position fraction. When p G = 1, the gate is at the minimum crest elevation, and when p G = 0, the gate is at the maximum crest elevation.

The third and fourth functions specify the weir coefficients for each gate-position fraction. C ud ( p G ) is the weir coefficient when the flow is from the upstream node to the downstream node, and C du ( p G ) is the weir coefficient when the flow is from the downstream node to the upstream node.

The fifth function specifies the submergence factor, f S ( r h ), for flow over the gate, where r h is the ratio of upstream piezometric head to downstream piezometric head.

For low weirs, the importance of the velocity head of the approach flow on discharge over the weir is greatly increased. A user-specified multiplier, Kvh, is applied to the velocity head, computed by taking a = 1 in the approach channel to account for the increase in the energy head because of converging flow in the immediate vicinity of the weir. Streeter and Wylie (1985, p. 374) state that a multiplier value of about 1.4 is typically assumed in hydraulic engineering.

The governing equation for flow from upstream node to downstream node for the special feature (where upstream and downstream denote the dominant flow direction) is

(115)

Equation ,

where d L =Equation , d R =Equation , and V L is the mean velocity in the approach channel. The value of the gate-position fraction is either specified in a user-defined table or by a user-specified Operation Control Block (described in section 8.1.2.2.3). The governing equation remains the same for either source. For flow in the opposite direction, the governing equation becomes

(116)

Equation ,

where V R is the mean velocity in the approach channel.

8.1.2.2.2.3 Sluice Gates at Stratton Dam at McHenry, Ill.:Code 5, Type 8
FEQ includes a special purpose set of subroutines for simulation of the hydraulic performance of the five sluice gates at Stratton Dam at McHenry, Ill., which are 13.75 ft wide and have a maximum opening of 9 ft. The gates at the dam close on a sill that is 1 ft above the approach and departure aprons. The relations used are a combination of empirical equations fit to measurements; conservation of energy and momentum are both applied to compute submerged-flow values.

8.1.2.2.2.4 Underflow Gates:Code 5, Type 9
Complex problems can result when representing the hydraulic performance of sluice gates. Multiple 2-D tables are used in FEQ simulation to provide maximum generality in hydraulic performance. There are four flow types with sluice gates and the transitions between them are often difficult to define; therefore, engineering judgement in the development of the 2-D tables is critical for obtaining adequate results. The four flow types for sluice gates are given below (Fisk, 1988).
  1. Free-orifice (FO) flow, determined from the upstream head only.
  2. Submerged-orifice (SO) flow, in which the gate opening is submerged on both sides and the flow is determined from upstream and downstream head.
  3. Free-weir (FW) flow, in which the gate lip is free of the water surface and the water flows through the sluice openings. The flow is determined from the upstream head.
  4. Submerged-weir (SW) flow, in which the gate lip is free of the water surface and the flow is determined from upstream and downstream heads.
If f qs ( h L, h R, w g ) is the function defining the flow through the sluice-gate opening, where w g is the opening distance of the sluice gate, then the governing equation is

(117)

Equation .

Again, the gate opening is specified by a gate-position fraction given either in an input function of time or in an Operation Control Block (section 8.1.2.2.3).

If w g is held constant, then f q ( h L, h R, w g ) is the same as for a 2-D table in which the flow rate at the discharge node is estimated from piezometric head at two flow-path end nodes (type 13). As shown in the documentation for FEQUTL (Franz and Melching, 1997), the variation of flow with gate opening, w g, is approximately linear. Furthermore, once the gate lip is free of the water, the gate opening no longer affects the flow. Therefore, careful use of linear interpolation on w g between a series of 2-D tables using piezometric head at two nodes (type 13) will result in a reasonable approximation to a wide variety of sluice gates and other underflow gates (for example, Tainter gates). Other means can be used for preparing a set of 2-D tables of type 13 in the proper format in addition to application of FEQUTL.

8.1.2.2.2.5 Variable-Head Variable-Speed Pump: Code 5, Type 3

A constant-flow pump for all heads is represented with the Bidirectional Flow with Pump option (code 5, type 2). A constant-flow pump is of limited usefulness if the flow varies appreciably with the pumping head. The pump-characteristic curve is used in code 5, type 3 to include the variation of the head that the pump can supply as the flow varies.

Let f Q (This is the Greek letter Deltah1 ) equal the flow rate delivered by the pump operating at relative speed, n r, which is equal to 1, against the head difference across the pump,This is the Greek letter Deltah1, which is equal to h L - h R. Relative speed is taken with respect to the standard operating speed of the pump. Thus, setting n r equal to 1 indicates that the pump is operating at standard speed. For a constant-speed pump, this is the only speed. For a variable-speed pump, however, useful efficiency over a range of speeds is possible, so it is convenient to define the function, f Q, at the maximum speed of the pump. Then, the maximum relative speed is 1.0, the minimum is 0.0, and the entire speed range is normalized to the interval (0.0, 1.0). In representing the performance of the pump by means of a function, a unique value of flow is assumed to result for every head through the pump. Certain pumps operate outside this assumption, but they are normally operated in a head range such that a unique flow results for each head.

The head change across the pump when the flow is from upstream node to downstream node and the outlet is submerged is

(118)

Equation ,

whereEquation are head losses resulting from separation at the entrance to the pump intake conduit, from flow resistance in the intake conduit, and from the flow resistance in the outlet conduit; K o is the exit-loss coefficient; A o is area of pump outlet conduit at the exit; and
E ( Q, z w ) is elevation of the total energy line for water-surface elevation z w and flow Q. The equation for free flow is defined such that K o = 1.0 andEquation is at a level corresponding to free discharge at the pump outlet conduit. The equation for the head difference for flow in the opposite direction is obtained by an appropriate change in subscripts and order of terms. The absolute value appears in the argument to f f because the argument must always be positive for this function. The flow at the discharge node may be negative depending on the relation of the pumping direction to the upstream and downstream nodes.
The governing equation for the pump then becomes

(119)

Equation ,

where D p is pumping direction such that D p = 1 denotes flow from upstream node to downstream node and D p = -1 denotes flow from downstream node to upstream node. The head and flow for a variable-speed pump are estimated by use of the similarity relations outlined by Daugherty and Franzini (1977, p. 443-445).

Flow opposite the direction given by D p is permitted if defined by f Q; however, the entrance and exit losses will not be properly represented in equation 118. Reverse flow can result whenever the head across the pump is larger than the shutoff head; but normally, pumps have a check valve or flap gate to prevent reverse flow. To represent the condition of no reverse flow, f Q is set to zero for all heads above the shutoff head for the pump. Negative heads--that is, operation as a turbine--also can be represented if f Q is defined for negative values of head difference.

The control of the pump is similar to the control of a gate, but differences between the two are important. Pumps are most often constant speed, less commonly multispeed, and seldom variable speed. Efficiency of a variable-speed pump is often low when the pump is operated far from the optimum speed. Therefore, the speed of a pump is often constant or follows a series of discrete values. Furthermore, the pump can operate only when water is present to pump and when the destination node is able to accept the flow. These and other problems are discussed in the next section.

8.1.2.2.3 Operation Control Blocks

The Operation Control Block is a part of the input to FEQ (described in section 13.12) where the user specifies rules for the operation of variable-geometry control structures that refer to such a block. Operational rules in practice become quite complex; often, functions of information external to the flow in the stream system are used. Measured or predicted rainfall, for example, are used in planning the operation of control structures in many stream systems. Current operational rules simulated in FEQ are functions of information computed for the stream-system model. Changes to the software would be required to apply external information. Such changes could be implemented, but they would likely be specific to a particular stream system. The operational rules supplied here have been applied with success in several applications to determine the general nature of how a structure should be operated to obtain maximum flood-control benefits.

It is assumed that each control structure will be affected by one or more control points established at flow-path end nodes in the stream system. Either the flow or the water-surface elevation is monitored at each control point (a node in the stream system). A recommended action is determined on the basis of the value at the control point. If different actions are determined from values at different control points, the action simulated is determined on the basis of priorities assigned to each control point by the user. At the start of each time step, the control points are checked in the model simulation for each control structure to determine the appropriate action in changing the control-structure setting. Once the action is selected, the control-structure setting is changed and held constant throughout the following time step. No changes in control-structure setting are made during the computations for the time step. Changes in settings can be completed only between time steps.

The control-point information must be transformed into a change in the setting for the control structure. The nature of this transformation depends on the type of control structure. If gates are operated, then the setting of the gates has a continuous range, and small changes in gate setting are appropriate. If pump operations are simulated, however, small changes in setting may not be appropriate. The approach taken for gates is to specify the rate of change of the gate-position fraction directly from information at the control point. For pumps, the setting is specified directly with user-defined functions.

8.1.2.2.3.1 Gate Control
The approach applied in FEQ for gates is that a rate of change in the gate-opening fraction, p, is specified directly from information at the control point or points. This rate of change,Equation , is then multiplied by the length of the time step to estimate the change in p to apply at the start of that time step. The form of the control function, illustrated in figure 16, consists of three regions: the region below the null zone, the null zone, and the region above the null zone. The lower limit of the null zone is denoted by CL L, and the upper limit of the null zone is denoted by CL U. The slope of the line in the region below the null zone is given by M L, and the slope for the line in the region above the null zone is given by M U. The values of CL L, CL U, M L, and M U are specified by the user (section 13.12). The value of p is unchanged if the stream level is in the null zone. Outside the null zone, the rate of change of p,Equation , is proportional to the deviation of the discharge or water-surface elevation (depending on which is monitored at the control point) from the closest null-zone boundary.

The null zone is needed to prevent numerous adjustments of gate settings even though the water level at the control point is reasonably stable. If the null zone is too small and the conditions are changing rapidly, adjustments of the gate setting will still be numerous. Other constraints must be applied to the rate at which the setting is changed to make the operation sensible and stable.

If the gate setting is always changed when CL is outside the null zone, the setting may oscillate between fully open and fully closed in model simulation. Oscillations result when a long time is required for the effect of the gate change to be detected at the control point. Therefore, the user also must specify the minimum acceptable rate of movement toward the null zone to avoid frequent changes to the setting. LetEquation denote the minimum rate of water-surface elevation or discharge movement (depending on which is monitored) at the control point toward the null zone for which the gate setting remains the same, andEquation where CL t is the level (water-surface elevation or discharge) at the current time t and CL t - 1 is the level at a time one time step (D t ) before the current time.

Limiting the rate of change for the setting also is useful to help prevent erratic setting changes when conditions at the control points change rapidly. The absolute value of the maximum rate of change is given byEquation .

Finally, the user must establish the relative priority of the action determined on the basis of the level at each control point when the level is in each of the three regions of the control function. When the level is below the null zone, the priority is PR L; when in the null zone, PR N; and when above the null zone, PR H . The priorities are in a simple ordinal relation; that is, priority level 1 is higher than 2, but how much higher is of no concern. The action finally simulated is the action with the highest priority across all control points connected to the control structure.

For a given level at time t, CL t, at a control point, the processing takes the following general series of steps:

If CL t < CL L (the level at the control point is below the null zone), then:

  1. Check for rate of movement in the correct direction. IfEquation , thenEquation ; otherwise,Equation .
  2. Check for the rate of change of the setting. IfEquation , thenEquation ; otherwise,Equation .
  3. Set the priority, PR L, for this control point.
If CL t > CL U (the level at the control point is above the null zone), then:
  1. Check for rate of movement in the correct direction. IfEquation , thenEquation ; otherwise,Equation .
  2. Check for the rate of change of the setting. IfEquation , thenEquation ; otherwise,Equation .
  3. Set the priority, PR H, for this control point.
IfEquation (the level at the control point is in the null zone), then:
  1. Specify no change to the setting,Equation .
  2. Set the priority, PR N, for this control point.
The action is determined from the control point with the top priority. The equation for the setting change is

(120)

Equation ,

where

p t is the new value of setting,
p t - 1 is the old value of setting, and
This is the Greek letter Deltat is the time step, in hours.

The new setting must always satisfyEquation .

The determination of the null zones and the priorities depends on the nature of the application. It is common to have levels at one control point indicate an increasing gate opening and levels at another indicate a decreasing gate opening. The assignment of priorities resolves this discrepancy. In general, gate settings should be changed slowly. Rapid changes can result in oscillations in the solution scheme and inefficient gate operation. Furthermore, because the gate setting could potentially be changed every time step, the time step used should be representative of the gates and the objective of the operation and simulation. In some cases, controlling the time step becomes difficult. In certain applications, the complexity of the operational rules may have to be increased so that the gate setting is changed only after sufficient time has elapsed since the previous change.

8.1.2.2.3.2 Pump Control

The speed of pumps is set with user-defined control functions in model simulations. The same code can be used to represent constant-speed, multispeed, or variable-speed pumps. Options are supplied for designing the controls of the pump. For example, the direction of movement of the level at the control point under the gate-control option, (section 8.1.2.2.3.1) does not change the control function, only its application. For pumps, however, the direction of movement of the level may be used to specify a different control function for the pump.

A control function for a pump, f cp, is given explicitly in a 1-D table; it is not defined by the slopes above and below a null zone as for gate control. The pump-control function follows several rules:

  1. The argument of the control function, CL cp, must be the level that is controlled, either flow or water-surface elevation.
  2. The value determined from the control function, n s , must be a speed in the same units as the speed for the pump so that n s is equal to f cp ( CL cp ).
  3. IfEquation , where CL cp is the level (flow or water-surface elevation) monitored at the control point, then the pump is turned off (if it is on; otherwise, it remains off).
  4. IfEquation , then the level is in the null zone and the pump state is not changed. If it is off, then it remains off; and if it is on, it remains on and at the current speed.
  5. IfEquation , then the pump is turned on if it is off and the speed is set to the value ofEquation . If the pump is on, the speed is set to the value ofEquation .

This function,Equation , is similar to the control function for a gate but has a more flexible form. The null zone is that range of the function argument for which the function is zero. The zone where the pump is off will have negative function values. The magnitude of the function values in this zone is not important. The zone where the pump is on will define the pump speed at each level in the pump-operation zone.

The example in figure 17 illustrates the case where the level of the water-surface elevation at the control point indicates turning a pump on when water is present and when the destination node is able to accept the water. The water must reach the level where the function becomes positive before the pump is turned on. Once on, the pump is not turned off until the water-surface elevation falls below the level at which the control function becomes negative. The null zone between the levels of turning on and turning off the pump must be used to avoid simulating a continuous sequence of pump cycling. The null zone must be large enough so that the action of turning the pump on does not drop the water-surface elevation to the level for turning the pump off at the end of the next time step. Therefore, the size of the null zone must be selected with consideration of the characteristics of the pump and the source node.

The user has the option of assigning various control functions, depending on the direction of movement of the level sensed. However, a null zone with regard to changes in direction of movement also must be present. If a directional null zone is not present, then endless cycling between off and on could easily result. The directional null zone is given byEquation and is defined as for operation of a gate. IfEquation is the time elapsed since the setting was changed andEquation , then the direction of motion will remain unchanged for the selection of the control function to use. If the directional null zone is too small, the action of changing the pump setting may result in a change back to the other control function at the earliest opportunity. Such changes could result in unrealistic variation in pump speed and computational failure.

The priority scheme for gate operation also applies to pumps. Conflicting specifications for pump operation must be resolved because the destination node may not be able to accept the flow at the time when water-surface elevation at the source node indicates that the pump should be turned on. The rules for turning the pump on or off may be set on the basis of the purpose of the pump in the priority scheme. In some cases, turning the pump off may have top priority. For example, in an off-channel flood-control reservoir, the pump should be off either if there is no water to pump or if the stream is still at or near flood stage. Thus, the off regions for the two control points should have a priority rank greater than the on or null regions. Various rules can be devised by a careful selection of the priority rank.


8.1.1 Conservation of Mass:Code 2
8.1.2 Elevation-Flow Relations
8.1.2.1 Fixed Geometry
8.1.2.1.1 One-Node Control Structures:Code 4, Types 1-3; Code 8
8.1.2.1.2 Two-Node Control Structures:Codes 3 and 5
8.1.2.1.2.1 Same Elevation:Code 3
8.1.2.1.2.2 Flow Expansion.Code 5, Type 1
8.1.2.1.2.3 Bi-Directional Flow with Pump or Simple Conveyance:Code 5, Type 2
8.1.2.1.2.4 Abrupt Expansion with Lateral Inflow/Outflow:Code 5, Type 5
8.1.2.1.2.5 Explicit Two-Dimensional Flow Tables:Code 5, Type 6
8.1.2.1.2.6 Conservation of Momentum/Constant Elevation:Code 11
8.1.2.1.2.7 Conservation of Momentum/Energy:Code 13
8.1.2.1.3 Three-Node Control Structures
8.1.2.1.3.1 Average Elevation at Two Nodes:Code 12
8.1.2.1.3.2 Flow Over a Side Weir:Code 14
8.1.2.2 Variable Geometry
8.1.2.2.1 One-Node Control Structures
8.1.2.2.1.1 Opening Fraction Given Beforehand:Code 4, Type 4
8.1.2.2.1.2 Opening Fraction Computed in Full Equations Model:Code 4, Type 5
8.1.2.2.1.3 Simple Pump with Rate Limited by Tail Water:Code 4, Type 6
8.1.2.2.2 Two-Node Control Structures
8.1.2.2.2.1 Explicit Two-Dimensional Flow Tables:Code 5, Type 6
8.1.2.2.2.2 Variable-Height Weir:Code 5, Type 7
8.1.2.2.2.3 Sluice Gates at Stratton Dam at McHenry, Ill.:Code 5, Type 8
8.1.2.2.2.4 Underflow Gates:Code 5, Type 9
8.1.2.2.2.5 Variable-Head Variable-Speed Pump:Code 5, Type 3
8.1.2.2.3 Operation Control Blocks
8.1.2.2.3.1 Gate Control
8.1.2.2.3.2 Pump Control

[Next Section] [Previous Section] [Table of Contents]