Full Equations Utilities (FEQUTL) Model for the Approximation of Hydraulic Characteristics of Open Channels and Control Structures During Unsteady Flow
The expansions and contractions considered in this section are large enough that critical controls may be present or are located at a junction among branches. The eddy losses at minor variations in channel shape and size can be represented within a branch (see section 5.5.3 in the documentation report for the Full Equations model (Franz and Melching, 1997)). The expansions and contractions considered here may result from both natural and constructed changes of channel cross-sectional shape.
A 2-D table of type 14 is computed in the EXPCON command (section 5.7) in FEQUTL to approximate the flow through a transition in channel cross-sectional shape. The transition is defined by an upstream cross section, a downstream cross section, the respective bottom elevations, the distance between the cross sections, and parameters related to the computation of friction and shock losses. Flow through a channel transition is a complex phenomenon, and evaluation of losses is difficult. The shock losses are approximated in EXPCON by a constant fraction of the difference in the true velocity heads where the constant differs for contracting and expanding flows. This approximation has been frequently used in hydraulic engineering, and most handbooks have recommended ranges for the loss coefficients. The approximation is crude, but no suitable replacement is readily available.
The principal difficulty with flows in transitions is that the velocity distribution changes from section to section in a manner only slightly affected by the channel boundary. This is especially true of expanding flows with possible channel-wall-separation effects and the attendant, inherent instability in the velocity distribution. This unpredictable variation in velocity distribution makes estimation of the losses difficult. Simplifying assumptions are made in the EXPCON command so that flow computation is possible. Some of the major assumptions are given below.
, for both the upstream and downstream sections, is a
function of depth in the section and is computed in the
cross-section table commands in FEQUTL. This means the
velocity distribution is determined by the boundary geometry
alone. This is only approximately correct and may be
substantially incorrect if the transition is an expansion.
However, little other choice is available for reasonably
determining flow through the transition without making each
transition a research project.
=
= 1. Thus, if the
channels under consideration are not compact, then
NEWBETA should be applied. The critical flow in closed
conduits with flow transitions must be limited by
application of the QCLIMIT command (section 5.18)
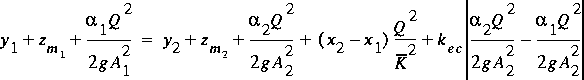
before the EXPCON command is invoked.The principal equation used to estimate the flows in a transition is
,where zm is the elevation of the minimum
point,
is the mean conveyance, x is the
location of the section along the channel, and kec is the loss factor depending on the sense of the
transition. The sense of the transition denotes whether the
flow is expanding or contracting. Another convenient and
perhaps preferable description is to define the flow in the
transition as either accelerating or decelerating. The flow is
accelerating in a contraction and
decelerating otherwise. The subscripts denote the section with
section 1 the upstream section and section 2 the downstream
section of the transition.
Equation 72 is applied to critical flow despite the potential problems outlined previously. The need to compute critical flow results primarily from the requirement for a consistent flow in FEQ simulations. Therefore, the flow relations must include the possibility of critical control even though the user believes such flow will not result. The purpose of modeling is to understand the behavior of a proposed or real stream system and to make reasoned estimates for conditions for which no data are available (for example, design conditions and extreme conditions for planning scenarios). Simulation of these conditions may unintentionally impose flows and depths that result in critical control at one or more locations where such a control is possible. If FEQ does not include that possibility, the computations either will fail for some unknown reason or will yield an unreasonable result because the control present in the structure is not simulated. Furthermore, if such a control appears unavoidable, some change in the physical structure should be made so that critical flow can be estimated more accurately. If this is not possible, a physical model must be constructed to define the flow and its characteristics at that location in the stream.
Consistent and reasonable estimates of critical flow, within the bounds of 1-D analysis, are required. For those cases in which critical flow is difficult to define, assumptions must be made as needed to produce consistent relations for the flow through the transition. The assumptions applied in FEQUTL computations of flow in transitions have been described in this section.
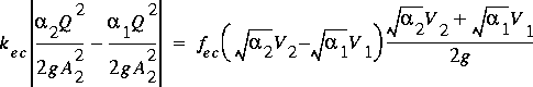
The computation of expansion-contraction losses (eddy losses or shock losses) is approximate and uncertain. In general, the loss fraction for expanding flows commonly is considerably larger than for contracting flows. No problems result if the sense of the transition never changes. However, when the sense of the transition changes, patterns of flow may result such that the velocity head change is small, but the flow undergoes a major change in section shape. A computational point may result in the flow simulation where the velocity heads on each side of the transition are the same and no energy loss will be estimated with equation 72. The user has the option of requesting smoothing of the loss formula near this point to provide some loss at this point. The loss term can be exactly computed as
(73)
,where Vis the average velocity in the cross section (=Q/A). The function, fec(X), is defined as XkA when
X
0 and as -XkD when
X< 0, where kA is the loss coefficient for accelerating (contracting)
flows, kD is the loss coefficient for
decelerating (expanding) flows, and X is the
difference in the product of the velocity and the energy-flux
correction coefficient from the downstream section to the
upstream section (difference in the rescaled velocities). For
equation 73 to be valid for both transition senses, fec (X) must be greater than or equal to zero.
No information is available on the loss coefficients when the
kinetic-energy-flux correction factor is large. In equation
73, it is assumed that the loss should be proportional to the
difference in the true velocity head and not in the nominal
velocity head. The sense of the loss is assumed to change at
the zero difference point between the rescaled
velocities, the argument to the function fec.
Smoothing this function when the argument is near zero will
result in a loss when the difference in velocity heads is zero.
A small, positive value of velocity difference, denoted by
V, is specified by the user to define an interval,
[-
V,
V]. Over this interval, a
cubic polynomial is fitted such that the value of the function
and its derivative is matched by the polynomial and its
derivative at the ends of the interval. Under these
conditions, the coefficient on the cubic term in the polynomial
vanishes and a parabolic transition over the interval is
obtained, yielding
(74)
This smoothing procedure yields a function with a continuous first derivative over the entire range. Without smoothing, the derivative of fec is discontinuous at the origin. At the origin, the point of zero loss without smoothing, the smoothed function yields
This means that, when the velocity difference is zero, the loss
is estimated to be the same as the loss that would result from
a velocity difference of
V and a loss
coefficient that is one-half the average of the two loss
coefficients.
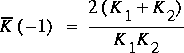
The friction losses defined in equation 72 depend on the method for computing a mean conveyance. The mean conveyance is defined as a function of an averaging parameter, a, as
(75)
.The generalized mean for two values is given by equation 75. The mean values obtained as a varies over its range are
(76)
(77)
(78)
(79)

(80)
Equation 77 gives the arithmetic mean, equation 78 gives the geometric mean, and equation 79 gives the harmonic mean of the two end-point conveyances. No established rules are available regarding which mean value to apply. The geometric mean is preferred in many cases and may be a reasonable first approximation.
The user specifies a series of downstream piezometric heads to define the 2-D table of type 14. The head is measured from the maximum of the two bottom elevations for the cross sections at each end of the transition. For each downstream head, the upstream piezometric head resulting in critical flow at either cross section must be computed with the EXPCON command (section 5.7). This defines the smallest critical flow that can result for the given downstream head. The upstream piezometric head is computed as a function of downstream head and partial free flow for a series of partial free flows (critical flow is the free flow) until the partial free flow is zero. When the partial free flow is zero the two heads are equal. Each stage of the computations involves an iterative solution.
A control may result at either cross section and the control may shift as the flow levels change. An extensive search is made in EXPCON computations for a control at each of the cross sections, if necessary. The validity of this control is checked in EXPCON computations. For a control to be valid, the flow must be critical at one section and subcritical at the other section. It may be that no control can be found. Normally, this problem can be solved by adjustment of the friction losses. In some cases, the addition of a small friction loss allows a control to be found in the computations. In other cases, the reduction or elimination of friction loss allows a control to be found in the computations.
Special care must be applied if a closed conduit is present in the flow transition; for example, a stream directed underground through a long, closed conduit of substantially different cross-sectional area. Critical flow is undefined when a closed conduit is flowing full. The introduction of a hypothetical slot in the top of the conduit allows a hypothetical, equivalent free surface to be simulated to account for pressurized flow, but leads to a critical flow, which commonly is many times larger than any flow that may result in the conduit. This results in unrealistic upstream heads in the computations. These large heads cause only a small part of the table to be utilized in FEQ simulations. To avoid this unrealistic outcome, the QCLIMIT command (section 5.18) should be applied to the closed-conduit cross section or cross sections before EXPCON is invoked for those sections. The critical flows tabulated in the cross-section table are modified in QCLIMIT so that the maximum value is more realistic, although arbitrary. For accurate and reliable simulation, the maximum flow assigned to the critical flow when the closed conduit is full must be somewhat larger than the maximum flow likely to result in the conduit.