[Next Section] [Previous Section] [Table of Contents]

Full Equations Utilities (FEQUTL) Model for the Approximation of Hydraulic Characteristics of Open Channels and Control Structures During Unsteady Flow

U.S. GEOLOGICAL SURVEY WATER-RESOURCES INVESTIGATIONS REPORT 97-4037

3.3 Channel Ratings for Bypass Channels


Flow at a bridge or a culvert often involves multiple flow paths when the water levels are high enough to overflow the bridge. Water may flow through the structure, over the structure, and (or) around the structure in the flood plain of the stream. If the flood plain is crossed by an embankment leading to a road crossing of the stream (culvert of bridge), then this embankment serves as a broad-crested weir. The flow over the road can be included in the flow table, but if the flow in the flood plain is large, multiple flow paths should be simulated. Studies of friction losses for flow through bridges and culverts have shown that an important factor is the degree of contraction that results for the water flowing through the structure opening. This may be only a small part of the water in the stream at flood stage. Therefore, careful division of the flow into (1) the flow through and directly over the structure and (2) the flow around the structure through the flood plain increases the reliability of the estimates of friction losses resulting at the structure.

The FEQUTL command, EMBANKQ (section 5.6), may be applied to compute the flow over a roadway or an embankment. This is discussed in section 4.3. In some cases, however, the approaches to the road crossing are essentially at the same level as the surrounding terrain. This often is true in parks and golf courses. The roadway then does not form a meaningful weir. In this case, the flow in the flood plain is flow in a wide open channel with the roadway constituting part of the boundary roughness, and the slope of this channel is typically mild, zero, or adverse. If the slope of the short bypass channel was steep, then the roadway could be simulated as an embankment weir. The CHANRAT command (section 5.3) in FEQUTL is designed to compute a flow relation for application in FEQ in this case. A 2-D table of type 13 is computed in CHANRAT for the flow in a short, prismatic channel with a mild, zero, or adverse slope. The rating for the flow through the channel, as a function of the upstream water-surface elevation and the difference in water-surface elevation, is given in this type 13 table. The flow is assumed to be subcritical at all levels. Furthermore, the table is only computed for one flow direction. If bidirectional flow might result, then two separate CHANRAT commands are needed to compute the two tables required to represent the bidirectional flows.

3.3.1 Governing Equation for Channel Ratings

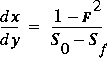
The bottom slope, channel length, and cross-section table number are specified by the user, and the flow and steady-flow profile through the channel are computed in CHANRAT for each of a series of user-supplied upstream water-surface elevations for a range of downstream water-surface elevations specified as partial free drops. The equation governing the steady-flow profiles is

(81)

Equation ,

where F is the Froude number and S 0 is the slope of the bottom with a drop in the x -direction taken as positive.

3.3.2 Outline of Solution Process for Channel Ratings

The governing equation is integrated numerically in CHANRAT by utilizing an adaptive Simpson's rule routine. The integral is computed to a user-supplied error tolerance such that the length of the water-surface profile between two depths on the profile is accurately determined. The solution process is as follows.
  1. The free flow and the drop to free flow are computed for the given upstream head. The free flow is critical flow at the downstream end of the channel and the drop to free flow is the difference between the water-surface elevations at the upstream and downstream ends of the channel when the flow is critical at the downstream end. The secant method is applied to make the computed length of the profile nearly match the length of the channel, assuming that the flow is critical at the unknown downstream water-surface height.
  2. The submerged flow is computed for each of a series of downstream water-surface heights that are greater than critical depth. In this case, the upstream and downstream heads are fixed and the flow is unknown. The secant method is applied to determine the flow for which the computed profile length closely matches the length of the channel.
In these computations of free and submerged flow, flow conditions close to normal depth should not be computed because the derivative, dx / dy, becomes unbounded. The vertical slope at critical depth is substituted for a vertical slope at normal depth in direct integration. Two input parameters, NDDABS and NDDREL, are used in CHANRAT to control how close the computations may approach to normal depth. The first parameter is the allowable absolute deviation from normal depth and the second is the allowable relative deviation from normal depth. The parameter value resulting in the closest approach to normal depth is applied in the computations. For a channel with mild slope, the stopping water-surface height, y s, for the computation of the profile length in CHANRAT is computed as

(82)

Equation ,

where y n is the normal depth (water-surface height) for the given flow, and the plus sign is applied if the current profile is above normal depth, and the minus sign is applied if the current profile is below normal depth.

The flow will be computed as normal flow if the computed profile length between the water-surface height at the downstream end and the stopping water-surface height when the flow is normal is less than the length of the channel. This can result for small upstream heads. These complications are not considered if normal depth cannot result. Thus, the computations proceed more rapidly if the bottom slope is zero or adverse and normal depth cannot result.

3.3.1 Governing Equation for Channel Ratings
3.3.2 Outline of Solution Process for Channel Ratings

[Next Section] [Previous Section] [Table of Contents]