Full Equations Utilities (FEQUTL) Model for the Approximation of Hydraulic Characteristics of Open Channels and Control Structures During Unsteady Flow
The flows through culverts are computed in FEQUTL by using peak-flow estimation methods developed by the USGS as outlined in Bodhaine (1968). The principles given by Bodhaine for the routing technique are applied in the CULVERT command (section 5.5) to compute 2-D tables of type 13 for a culvert with or without flow over the roadway. The cross-section locations used in the routing analysis are shown in figure 3. The approach section, section 1 in figure 3, is at least one culvert-opening width upstream from the entrance to the culvert. Section 2 is the cross section of the culvert barrel at the culvert-barrel entrance. Section 3 is the cross section of the culvert barrel at the culvert-barrel exit. The departure section, section 4, is usually located where the distribution of velocity in the stream has essentially returned to the distribution resulting if the culvert were not present. This location shifts with changes in flow and is a complex function of poorly understood factors. Therefore, in practical terms, the section represents the shape of the stream one opening width or more downstream from the culvert-barrel exit. In FEQ simulation, section 1 is the cross section at the downstream end of the branch upstream from the culvert, and section 4 is the cross section at the upstream end of the branch downstream from the culvert. Thus, the flow through the culvert is computed in the CULVERT command in FEQUTL for a range of water-surface elevations at section 1 and section 4. The other sections are applied only in FEQUTL computations and are not applied in FEQ simulation. In FEQUTL applications, the length of stream between sections 1 and 2 is called the approach reach and the length of stream between sections 3 and 4 is called the departure reach.
Flow through culverts is one of the more complex steady-flow phenomena encountered in the application of one-dimensional flow techniques. Bodhaine (1968) defined six flow types for flow through culverts, summarized in table 3, to determine peak discharges at culverts on the basis of high-water marks and culvert geometry. Three of these flow types (1, 2, and 3) are for low-head flow, two are for high-head flow (5 and 6), and one is for the case where both the culvert inlet and exit are submerged (4).
Bodhaine (1968) defined the
boundary between high-head and low-head flow as (zw1-zci)/
D = 1.5 where zw1 is the water-surface elevation
in the approach section (section 1 in fig.3),
z ci is the elevation of the culvert invert at the downstream
end, and D is the maximum inside vertical dimension of the culvert
barrel. Chow (1959, p. 493) noted
that the change between high-head and low-head flow (culvert entrance submerged
or not submerged) may result for (zw1-zci)/
D as small as 1.2 depending on the geometry, barrel characteristics,
and approach condition. Chow states that for preliminary analysis (zw1-zci)/
D
1.5 may be used because computations have shown
that, where submergence was uncertain, greater accuracy can be obtained
by assuming that the entrance is not submerged (low-head flow). However,
for routing of unsteady flow through the culvert, a more explicit consideration
of the transition region is necessary. As a specific example, Bodhaine
(1968, p.47) noted that, for a range of approach water-surface elevations,
the designation of the flow as low head (flow type 1) or high head (flow
type 5) is unstable. Laboratory data indicate that the unstable condition
begins at (zw1-zci)/ D = 1.2, where
the flow is usually low head, and ends at (zw1-zci)/
D = 1.5, where the flow usually becomes high head. Bodhaine
(1968) recommended that the culvert discharge rating in this range
of approach water-surface elevations between flow types 1 and 5 be represented
by a straight line between the discharge computed with low-head methods
at a ratio of 1.2 and the discharge computed with high-head methods at
a ratio of 1.5.
Tables of type 13 are computed with FEQUTL to represent the flow through culverts and to be applied as internal boundary conditions in the unsteady-flow simulation in FEQ. Tables of type 13 contain flow rate as a function of upstream and downstream water-surface elevations. These tables are computed as follows. Initially the upstream and downstream water-surface elevations are identical and no flow results. Then the downstream water-surface elevation is lowered (as per a user-specified series of partial free drops) and at the same time the flow rate is increased from the initial zero flow so that the upstream water-surface elevation is maintained. As the downstream water-surface elevation continues to lower, the flow increases to maintain the upstream water-surface elevation. This computational procedure precludes the use of the method recommended by Bodhaine (1968) because in his method the flow rates for (zw1-zci)/ D equal to 1.5 and 1.2 are computed for a fixed downstream water-surface elevation. Then the linear interpolation is applied on the flow rate for the actual value of (zw1-zci)/ D, whereas flow rates are computed for fixed, upstream water-surface elevation and variable, downstream water-surface elevation in FEQUTL. Thus, special additional flow types [relative to the six flow types identified by Bodhaine (1968)] must be defined and used in FEQUTL to simulate flow in the range of upstream water-surface elevations between flow types 1 and 5.
The need for special additional flow types to simulate the flow between low-head and high-head flow types 1 and 5 results from physical oscillations for a range of upstream water-surface elevations. Other special additional flow types are needed to approximate flow in the vicinity of changes between high-head flow types, low-head and high-head flow types, and submerged flow (type 4) and low-head or high-head flow. These special flow types do not necessarily result in a real stream system, but rather these flow types may be needed to circumvent computational problems at transitions between flow types in FEQ simulation of unsteady flow. For example, as flows in culverts change between free-surface and pressurized conditions, a discontinuity in the flow results. The numerical methods applied in FEQ to route unsteady flows through the stream system may not be capable of obtaining a solution for flows or water-surface heights at an internal boundary condition if a large discontinuity in the flow rating is present. Therefore, special flow types are included in FEQUTL to circumvent discontinuities in the internal boundary conditions at culverts. The flow conditions described with the additional flow types may be present only for short periods as a flood wave passes through the culvert or backwater extends from downstream locations. As detailed in later sections, not all transitions between flow types involve substantial flow discontinuities; thus, not all changes between flow types are considered in FEQUTL. The actual transition between flow types as upstream and downstream water-surface elevations change during unsteady flow are simulated in FEQ by look-up among the tables of type 13 representing the various upstream and downstream water-surface elevations.
Special additional flow types also are needed because simulation of unsteady flow in streams requires flow to be defined for a wide range of flows, from small to large, and not just the large design flows considered by Bodhaine (1968).
The additional flow types defined in FEQUTL to describe a wider range of flow conditions than included in the six flow types defined by Bodhaine (1968) are designated flow types 0, 31, 41, 42, 51, 52, 61, 62, and 7. These are described in table 3 and illustrated in figures 4-11.(figs. 4 and 5),(figs. 6 and 7),(figs. 8 and 9),(figs. 10 and 11). The designations of entrance and exit in table 3 refer to the direction water is flowing, not the direction that is the predominant or expected direction. The nature of flow in the culvert is described as free or submerged in table 3. Submerged indicates that no critical control is present in the structure because it is drowned by backwater effects. For example, flow type 4, defined by Bodhaine (1968), is obviously submerged because both ends of the culvert are underwater. Flow type 3, defined by Bodhaine (1968), also is submerged because the downstream water-surface elevation is greater than the elevation of critical depth in the culvert. Each of the other flow types defined by Bodhaine (1968) is free flow. This designation is less explicit than Bodhaine's (1968) designation of flow in culverts as critical, subcritical, supercritical, and full barrel or critical, tranquil, rapid, and full barrel because some of the special additional flow types are intermediate conditions between subcritical and supercritical flows and may be either type of flow, depending on hydraulic and geometric conditions of the culvert. For the computations in FEQUTL, a more precise definition of flow regime is not necessary. Further, this designation is consistent with that for free and submerged weir and orifice flow for underflow gates (section 4.8).
At large flows, culverts almost always cause a contraction of the flow at the entrance and an expansion of flow at the exit. This is the standard assumption for analysis of culverts. However, at low to moderate flows, culverts can provide an expansion of flow at the entrance and a contraction of flow at the exit. Such conditions are considered in flow types 0 and 7. In flow type 0, the control is the approach section. At a given upstream water-surface elevation (upstream head), the capacity of the culvert is such that critical flow is present at the approach section. In flow type 7, the control is at the departure section so that critical control is present such as may result from a riffle in the stream channel downstream from the culvert during low flow. Flow type 31 results when flow types 1 or 2 in long culverts are submerged. In this case the exit can be submerged but the entrance has a free surface.
A flow of type 6 results in a piezometric surface at the culvert exit
that is below the soffit (the highest point in the culvert at a given location)
of the culvert at that point. When the piezometric surface in the departure
reach for flow type 6 is drowned but the soffit is under free-flow conditions
(that is, not submerged) the flow is designated as type 42 in FEQUTL. This
could result from submergence of the control for flow types 6 or 62. Flow
type 61 only results for flow against an adverse slope. For this flow type,
the culvert is flowing full at the inlet but is flowing partially full
at critical depth at the outlet. Submergence of flow type 61 can result
in flow type 41. Flow type 41 also is a transition between flow types 3
and 4. Flow type 62 is transitional and is used to smooth the transition
between the low-head flow types 1 and 2 and the high-head flow type 6. Flow
type 62 also is used as a transitional flow type between flow types 61
and 6. Flow types 51 and 52 provide transitions between flow types 1 and
5 and flow types 2 and 5, respectively. Typical flow profiles for the additional
flow types are shown in figures 4-11.
(figs.
4 and 5),(figs. 6 and 7),(figs.
8 and 9),(figs. 10 and 11)
The routing methodology defined by Bodhaine (1968) starts at a control point or at a known water-surface elevation, and a steady-flow energy-conservation equation from that point is applied to define the unknown flow and elevation values. The equations that result fall into three groups: flow type 1, flow types 2 and 3, and flow types 4 and 6.
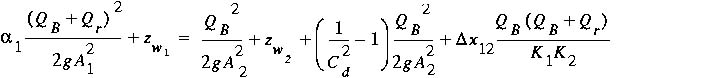
For culvert-flow type 1, the control is at the culvert entrance (section 2). The coefficient of discharge, C d, in this case does not represent appreciable energy losses because the flow is contracting into the culvert entrance. The loss of energy is caused by subsequent expansion in the culvert barrel that results downstream from section 2. Therefore, the coefficient of discharge may be determined by applying

where
1 |
is the kinetic-energy flux correction coefficient at section 1
|
| Q B | is the flow in the culvert barrel; |
| Q r | is the flow over the roadway; |
| g | is acceleration due to gravity; |
| A i | is the flow area at section i; |
| is the water-surface elevation at section i; | |
x 12 |
is the distance between sections 1 and 2; |
| K i | is the conveyance at section i; |
and the critical flow at section 2 is given by
.
The flow rate at section 2 is critical with the water-surface elevation
at section 2,
, being the water-surface elevation at critical flow. This equation is
solved iteratively starting with an initial estimate of the critical depth
at section 2. The iteration continues until the known elevation at section
1,
, is matched to an acceptable tolerance criterion.
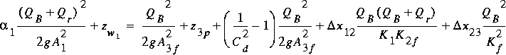
For culvert-flow types 2 and 3 the energy equation is
,where
x23 is the length
of the culvert and K23 is the average value of conveyance
for the culvert that gives the correct barrel-friction loss computed in
the steady-flow profile computations. The barrel friction loss and the
conditions at section 2 are estimated by computing a steady-flow water-surface
profile in the culvert barrel. The entrance losses,
, are assigned to the barrel so that the estimated water-surface elevation
at section 2 reflects the expansion losses that take place in the barrel
downstream from the entrance. These losses may not be fully realized if
the barrel is short. This refinement is not included in the CULVERT command
because the factors involved are not well defined. Therefore, a warning
message is given if the culvert is clearly too short, usually defined as
a length less than six times the maximum inside the vertical dimension,
D.
For culvert-flow type 2, the flow at the outlet of the conduit (section
3) is critical, but for culvert-flow type 3, the flow is subcritical throughout
the conduit. Equation 84 is solved iteratively for the water-surface elevation
at section 1 given either that the flow at section 2 is critical or given
a water-surface elevation at the culvert exit (section 3),
.
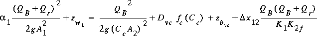
For culvert-flow types 4 and 6, the energy equation is
,where z 3p is the elevation of the piezometric surface at section 3 and the f in subscripts denotes the full-flow value for the culvert barrel. This equation must be solved iteratively for culvert-flow type 6 because the piezometric level at section 3 is a function of the flow in the culvert barrel as shown in figure 18 in Bodhaine (1968). For culvert-flow type 4, equation 85 may be solved directly for the flow because in this case the piezometric level at section 3 is given. This direct solution is only possible if no flow over the road results. If flow over the road results, iteration is required.
The flow over the road is defined by the water-surface elevation at section 1, the upstream water level for weir flow over the road. The downstream water-surface elevation for the flow over the road is taken at section 43 (fig. 3). The downstream water-surface elevation for flow through the culvert also is defined at section 43. Under submerged flow conditions (flow type 4) the piezometric levels at sections 3 and 43 are identical. The flow over the road is computed using the same methods as for embankments and other weirs (section 4.3). The effect of approach velocity head on the flow over a weir is included on a local basis. The approach conditions for the flow at a point on the weir crest are estimated upstream from that point and not for the approach of the entire cross section. This is done because flows over a road commonly take place during floods, and the approach conditions to the road are usually on the flood plain of the stream. The velocity head on the flood plain can be substantially different from the velocity head in the stream channel at the culvert or bridge. Flow over the road directly above the culvert is normally a small part of the total flow over the road. Often, guard rails or other obstructions to flow above the culvert further reduce the effectiveness of the flow path directly above the culvert. Furthermore, no laboratory or field data are available on the nature of the interaction between flow through the culvert opening and flow over the road directly above the culvert. Consequently, in the CULVERT command the velocity head induced at section 1 by the flow through the culvert is assumed to have a negligible effect on the flow over the road. Therefore, the flow over the road, for free-flow conditions, is computed from the water-surface elevation at section 1, independently of the flow through the culvert.
Transitional-flow profiles are computed with variations on equations 83-85. For example, culvert-flow type 61 is computed with an equation like that for culvert-flow type 2 (equation 84), except that the entrance flows full, the culvert barrel is full along part of its length, and the coefficient of discharge differs from that for type 2. The Preissmann (1961) slot technique is applied in the CULVERT command to represent pressurized flows as free- surface flows. Water-surface profiles in the barrel that are a combination of full flow and part-full flow are computed by allowing the section to flow full with the water level in the slot giving the piezometric level in the full-flow part of the barrel. The other nonstandard flow types (41, 51, 52, and 62) are computed in a similar manner.
The representation for flow type 5 in Bodhaine (1968) does not permit the application of a routing methodology. This cannot be applied in the CULVERT command. All culvert-flow types can be submerged given sufficient downstream water-surface elevations. Therefore, culvert-flow type 5 must be computed so that it can be merged with the other culvert-flow types.
Type 5 flow is analogous to free flow under a sluice gate. The entrance to the culvert is flowing full, but the water surface becomes free of the culvert soffit and an air space is present above the water surface from the entrance to the exit. The nature of the rounding and beveling of the culvert has a marked effect on type 5 flow. The flow in the culvert barrel contracts to a minimum area (vena contracta) at about three vertical diameters from the entrance (Portland Cement Association, 1964, p. 111). Downstream from the vena contracta, flow expansion takes place with losses similar to those for full-barrel flow for the same entrance condition. The discharge coefficients for culvert-flow type 5 relate primarily to the reduction in area and not the loss of energy. The loss of energy, as in culvert-flow type 1, takes place downstream from the vena contracta. The flow at the vena contracta is supercritical. The depth downstream from the vena contracta may increase or decrease, depending on the slope and roughness of the barrel.
Submergence of type 5 flow cannot be separated from the transition to full-barrel flow. For the part-full flow to persist during flow transitions, an adequate flow of air into the space above the water surface must be present. The high velocities normally present in culvert-flow type 5 are quite effective in moving and entraining air. If the barrel is long enough and the water level or velocity is high enough, the air stream entering the culvert along the soffit will encounter enough resistance to reduce the pressure in the space above the water surface close to the inlet, resulting in full flow at the culvert entrance. Once initiated, the full-flow region will rapidly fill the remainder of the culvert. The flow rate immediately increases, and this increase may lead to air entrainment through vortices at the culvert inlet. Part-full flow may then result because of the entrained air. The flow will oscillate between part-full and full flow until the water level at the entrance rises too high for sufficient air to be entrained by the vortices.
The ventilation of the culvert barrel can also be reduced by a rising tail-water level that results in a hydraulic jump in the barrel exit. Eventually, the face of the jump will come close enough to the exit soffit to restrict the air flow sufficiently to result in full flow. This full-flow value is assumed to be a submerged flow value in FEQUTL. It may be possible that submergence of a culvert-flow type 5 may result in a culvert-flow type 6 that is unsubmerged. Insufficient data are available to determine under what conditions an unsubmerged culvert-flow type 6 could result from submergence of culvert-flow type 5.
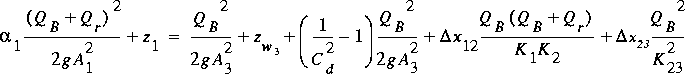
A hydraulic jump commonly will start in the culvert barrel and end at some point in the departure reach. A sketch of the location of the jump and the sections is shown in figure 12. As the water-surface elevation at the departure section and the section at the end of the jump (sections 4 and 44) increases, the jump moves farther into the barrel. To estimate the water-surface elevation at sections 4 and 44 that results in full flow in the barrel, a modified, simple momentum balance is utilized. The hydrostatic, piezometric level at section 43 is sought. The pressure distribution at section 43 is not hydrostatic because parts of section 43 are in a hydraulic jump. However, the pressure on the downstream face of a hypothetical head wall at the culvert outlet would be approximately hydrostatic. Thus, the full-flow-inducing depth is defined in terms of hydrostatic, piezometric head because it is not possible to compute any other level by applying simple equations. The modified momentum balance equation for the departure reach is
,where M r is the momentum flux over the roadway and the subscript b denotes the invert elevation at the given section, and J ( X f ) indicates that the first moment of area with respect to the water surface is a function of X f. The flow at section 3 is supercritical, so the depth and flow there are known from the computations of culvert-flow type 5.
The downstream water-surface elevation resulting in full flow for culvert-flow type 5 and that resulting in submergence of culvert-flow type 5 are taken to be identical. Thus, the submergence can be defined if the flow and depth at section 3 can be estimated. The discharge equation for culvert-flow type 5, given in Bodhaine (1968), is
The velocity head of approach is assumed to be negligible in equation 87. This may be reasonable because culvert-flow type 5 under high-head conditions is not efficient. Friction losses in the approach reach are also not considered in equation 87. The details of the location and size of the vena contracta are implicit in equation 87. An energy equation between section 1 and the vena contracta can be written as
,where
| C c | is the contraction coefficient on the full barrel area giving the flow area at the vena contracta; |
| f c ( C c ) | is the piezometric depth ratio to the maximum vertical dimension as a function of the contraction coefficient; and |
| is the invert elevation at the vena contracta. |
A simple way to define the function f c is to assume that the piezometric depth is the same as the depth to vertical diameter ratio that defines the contracted area. This function is then determined once the barrel cross-sectional shape is defined. For example, if C c is 0.5, then for a circular culvert, the depth ratio is also the same. In a box culvert, the partial-depth ratio and the partial-area ratio are the same. The partial-depth ratio and partial-area ratio deviate from each other for other shapes. The assumption that this applies to the piezometric depth is only approximate. The contraction at the entrance is predominantly from the soffit, but there also are contractions from the sides of the culvert entrance. The effective flow area at the vena contracta is probably less than the area of water at the vena contracta. The simple assumption applied in FEQUTL is that the effective flow area and the area containing water are the same.
The contraction coefficient is defined by requiring that the flow in equations 87 and 88 be the same. These two equations define a contraction coefficient for a given water-surface elevation at section 1 and a given discharge coefficient for culvert-flow type 5. A contraction coefficient for culvert-flow type 5 is determined in the CULVERT command whenever required. Once the contraction coefficient is defined, it is applied in an equation without the assumptions made for equation 87. The equation for culvert-flow type 5 then becomes
,where D vc is the maximum inside vertical dimension of a culvert barrel at the vena contracta. This equation yields slightly different results than the defining equation (equation 87), but the differences are small when both equations are applicable.
Most of the expansion losses in part-full flow take place close to the vena contracta. These losses are assumed to be the same as for culvert-flow type 6 at the same flow rate but at full flow. It is further assumed that the losses are realized over a distance of three culvert diameters downstream from the vena contracta, which is located three culvert diameters downstream from the culvert entrance. Experience with FEQUTL has indicated that application of the full culvert-flow type 6 losses sometimes result in failure of supercritical-profile computations when no physical reason for failure is present. In these cases, the estimated losses are reduced iteratively by 0.95 until the losses are small enough to permit computation of the supercritical profile.
During computation of a 2-D culvert-rating table in FEQUTL, a procedure must be specified to determine which high-head culvert-flow type, 5 or 6, is present. The slope, length, roughness, and entrance condition of the culvert are all factors that affect the presence of culvert-flow type 5 or 6. Bodhaine (1968) prepared two figures to aid in the determination of whether high-head culvert-flow is type 5 or type 6. Bodhaine's figure for pipe or box culverts with a smooth surface (concrete or similar material) is presented in figure 13, and his figure for pipe culverts with rough barrels is presented in figure 14. The first estimate of the culvert-flow type for high-head flow is given in these figures. If the culvert-flow type selected is type 6, computations for culvert-flow type 6 proceed. However, if the culvert-flow type selected is type 5, further checking of flow conditions is done in FEQUTL.
Culvert flow type 5 must be verified and a full-flow-inducing depth must be assigned at the culvert exit. Verification is important because the classification of culvert-flow types in figures 13 and 14 is only approximate and many culverts fall outside the range of the figures. The tables in FEQUTL that represent these figures have been extended to accommodate a larger range of culverts. However, this extension is an extrapolation and does not involve any new data or computations. Furthermore, culverts have a tendency to flow full, as discussed in Portland Cement Association (1964, p. 98-99). Therefore, the decision rules programmed in FEQUTL result in culvert-flow type 6 more often than culvert-flow type 5.
The following steps are completed in FEQUTL to verify culvert-flow type 5.
The development of tables of type 13 involves computation of 100 or more distinct flow profiles. Some of these profiles will likely fall into a transition region between culvert-flow types. As the water level at section 1 increases, the free flow will pass from one culvert-flow type to another with some transition between them. Sometimes the transition is smooth, and sometimes it is not. For example, a pipe culvert at small, upstream head levels could be in culvert-flow type 2. As the upstream head increases, the culvert-flow could become type 1. As the upstream head continues to increase, the culvert-flow type could shift back to type 2 because the converging side walls cause the critical flow to increase rapidly. Eventually, the culvert-flow type could become type 5 or type 6, or both, depending on the slope, length, and roughness of the culvert barrel. Some of the computational transitions between flow types are reasonably smooth because of the equations utilized. For example, the transition between types 1 and 2 is computationally smooth because of the nature of the governing equations. Thus, no special treatment is implemented for this transition. In the following discussion the concern is with the computed flows and not the actual flows in the transition. The actual flow may be quite unstable and oscillatory in some transitions, and an approach must be developed in which these features of the actual flow are ignored but for which accurate routing of flows through the culvert is obtained.
The approach taken for defining equations for the transitions is as follows.

The transition from free-flow, culvert-flow type 5 to full-pipe flow is not smooth. Culvert-flow type 5 is unstable in that adequate ventilation of the free space above the water in the barrel must be available. When this ventilation is restricted by the friction of the air flow in the barrel or by a hydraulic jump in the barrel or at the exit of the barrel, the barrel will abruptly switch from part-full flow to full flow. This transition is marked by an increase in the flow as the barrel is used more efficiently. This change in discharge can be 30 percent or more. This transition is unstable because the increase in discharge may induce air entrainment at the entrance through one or more vortices. The entrainment of this air may allow the flow to momentarily be part full. Thus, the flow surges and oscillates until the upstream water-surface elevation rises enough to prevent substantial entrainment of air at the culvert entrance. During this time, the value for flow in the culvert is probably between the culvert-flow type 5 value and the value when the barrel is flowing full throughout (culvert-flow type 4). Therefore, a special discharge coefficient for the equation describing culvert-flow type 5 is computed in the CULVERT command such that the culvert-flow type 4 matches the culvert-flow type 5 at its limit. This coefficient is then varied linearly between the culvert-flow type 5 submergence (full-flow inducing) level and the current downstream water-surface elevation. This interpolation continues until the current downstream water-surface elevation is at or above the exit soffit. Then the culvert-flow becomes type 4. The transitional culvert flow is denoted 42 because it is full flow and the piezometric level at the culvert exit is below the culvert soffit.
Bodhaine (1968) took the departure reach losses to equal complete loss of the velocity-head difference between the culvert exit and the departure section. In general, this loss is too large. The cumulative effect of using this simple loss on a sequence of culverts along a stream in an urban area could substantially bias the computed water-surface elevations. Therefore, a simple momentum balance in the departure reach is applied in FEQUTL following Henderson (1966, p. 208-210). This approach or variations have been applied and described by Schneider and others (1977).
In Bodhaine (1968), the losses at the exit of the culvert are estimated using the complete loss of velocity-head difference between the exit of the culvert, section 3, and the departure reach, section 4. This would seem to imply that this loss method must be used for consistency in the selection and application of discharge coefficients. However, this implication is incorrect as described in the following discussion.
Culvert-flow types 3 and 4 in Bodhaine (1968) are the only flow types that can be affected by exit losses. The other culvert-flow types are free of tail-water effects by definition and, therefore, the discharge coefficients are independent of any assumptions made about the losses in the departure reach. The only effect of exit-loss assumptions on culvert-flow types 1, 2, 5, and 6 involve the conditions that must be present at section 4 for these flow types to be valid.
The discharge coefficients for culvert-flow types 4 and 6 are identical in Bodhaine (1968). These culvert-flow types only differ in the conditions in the departure reach, with the exit of the culvert submerged in type 4 flow so that tail water affects the flow. Bodhaine (1968) points out that the piezometric level at section 3 is below the soffit of the culvert, but no statement is given on submergence-level effects below the soffit. In FEQUTL, additional culvert-flow types have been included in the CULVERT command to represent submergence of type 6 flow when the tail water is above the exit piezometric level but below the soffit. The deviation of the discharge coefficient from the ideal value of unity for these flow types is a reflection of the energy losses incurred at the contraction and expansion of the flow near the culvert entrance. These contraction and expansion effects are identical in both culvert-flow types 4 and 6. Consequently, the assumptions regarding the exit losses cannot have a significant effect on the model experiments that yielded the discharge coefficients for culvert-flow type 4. Otherwise, the computed discharge coefficients would have differed significantly from those found for culvert-flow type 6. Therefore, in both culvert-flow types 6 and 4, the piezometric level at the exit is the proper value for computing the flows with the discharge coefficients. The only difference is that for culvert-flow types 6 and 4, the piezometric level is below the water surface and at the water surface, respectively.
Culvert-flow type 3 is similar to culvert-flow types 1 and 2 except that tail water affects the type 3 flow. However, Bodhaine (1968) gives the discharge coefficients for all three flow types using the same relation. Bodhaine (1968) gives the base discharge coefficient for pipe culverts in figures 20 and 25 and the discharge coefficient for box culverts in figure 23. Culvert-flow types 1 and 2 are independent of the treatment of losses in the departure reach. Again, if the culvert-flow type 3 discharge coefficients in the model experiments were greatly affected by the treatment of the departure reach losses, it seems unreasonable to expect that the discharge coefficients would follow the same relation. Therefore, the proper value of the water-surface elevation for culvert-flow type 3 is the water-surface elevation at section 3.
The unpublished details and raw results of the laboratory model study utilized to develop Bodhaine (1968) have been lost since the experiments were completed about 40 years ago. Therefore, the sizes of the model approach section and departure section relative to the model culvert barrel is unknown. Nevertheless, considering the goal of the study, peak-flow estimation, and the need to reduce computational effort, it seems logical that the model would have a departure reach much larger in flow area than the area of the culvert barrel. In this case, the water-surface elevation at section 3 approaches that at section 4 as shown by a simple momentum balance. The equivalence of water-surface elevations in sections 3 and 4 is a close approximation of the conditions most likely to be found in the field in natural channels at flood stage. If the departure-reach flow area is large enough relative to culvert flow area, then the assumption of an exit loss given by the difference in velocity heads is valid. It is reasonable to assume that the model departure reach was sized so that this was the case. This avoids the tedious calculations of the momentum balance in the departure reach before the common availability of digital computers.
In summary, the application of the momentum balance for the departure reach losses is consistent with the discharge coefficients in Bodhaine (1968), and it results in more reasonable losses for culvert-departure conditions that violate the assumptions implicit in application of the difference in velocity heads as the estimate of the energy loss in the departure reach. Assumption of complete loss of the difference in velocity heads in the culvert departure reach often results in an overestimation of the losses and, in some cases, a gross overestimation of the losses. The simple momentum balance provides a reasonable alternative that maintains basic validity to the limit of a departure reach with the same width as the culvert exit. In that limit, the simple momentum balance gives results for a submerged hydraulic jump in a rectangular channel. Assuming complete loss of the velocity-head difference can lead to an underestimate of the culvert discharge when the departure reach has a flow area only a few times larger than the culvert exit. This underestimation is corrected by using a simple momentum balance to estimate the conditions at section 3 from the conditions at section 4.
In applying a simple momentum balance, it is assumed that the departure reach is horizontal, prismatic, and frictionless. The simple momentum balance is calculated for sections 3, 43, 44, and 4 shown in figure 3. Section 43, the cross section of the stream channel a short distance downstream from the culvert exit, represents the upstream end of the control volume for the simple momentum balance. Section 44 represents the downstream end of the control volume for the simple momentum balance. The distance between these two sections is not considered in the computations because friction and bottom slope are ignored. The geometry of section 44 is always the same as section 43 because a prismatic channel is assumed in the simple momentum balance. Different designations are applied because the water-surface elevation and water-surface height in these sections will differ. If the departure reach is prismatic and horizontal, the geometry of section 4 will be the same as sections 44 and 43 with the same water-surface elevation as section 44.
If the departure reach is not horizontal or prismatic, then the geometry
of section 4 will differ from section 43. However, section 44 will still
be the same as section 43, defining a horizontal and prismatic subreach
in the departure reach. This is needed for the simple momentum balance.
A simple momentum balance is used to estimate the losses in this case because
the application of the momentum balance to a nonhorizontal or nonprismatic
control volume requires knowledge of the water-surface profile in the control
volume. Simple assumptions regarding this profile may introduce errors
so large that the results become useless. This is analogous to the representation
of a hydraulic jump. A simple momentum balance produces a close match to
measurements if the jump is in a prismatic, nearly horizontal channel.
If the channel is nonprismatic or nonhorizontal, simple estimation of the
gravity force or of the downstream component of the pressure forces on
the sides of the channel fails to produce good results, and laboratory
measurements must be made. No such measurements are available for the departure
reaches of culverts, and only a limited number of measurements are available
for hydraulic jumps.
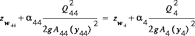
The simple energy balance between sections 44 and 4 is
,where Q 44 = Q 4 = Q B +Q r . The water-surface elevation at section 4 is transferred to section 44 by applying equation 90 and assuming no energy losses. The assumption of no energy loss resulting from friction is reasonable because of the short distance between sections 44 and 4. The simple momentum balance becomes
.Equations 90 and 91 give the relations for the departure reach once the culvert and roadway flows and momentum fluxes are known.
The solution process for culvert-flow proceeds in the following major steps for each upstream head given by the user. The datum for head is the maximum value of the elevations of the minimum points at sections 1-4.
The momentum flux over the roadway enters into the simple momentum balance for the departure reach. It is assumed that the horizontal momentum flux over the roadway enters the channel unaffected by gravitational acceleration or flow resistance down the roadway embankment. When the flow over the roadway becomes a large part of the total flow, the momentum flux must be considered. For moderate depths of flow over a roadway, the depth is approximately critical depth when the flow is free of downstream effects. Assuming that the flow over the roadway is critical results in the depth as
,where C wr is the weir coefficient and H is the head on the roadway (depth of flow relative to the minimum point on the roadway embankment) utilized to compute the weir flow. The estimated momentum flux per unit width of roadway, q r 2 / y, becomes
,where q r is the flow per unit width of roadway. The weir coefficient includes the effects of friction losses in the approach and other factors. The flux per unit width is integrated along the roadway crest as the flow per unit width. Additional details are provided in section 4.3.
When the flow over the roadway is submerged, equations 92 and 93 are not valid. The flow is no longer approximately critical, and the flow is reduced from that given by the unit-width weir equation (equation 93). The crest depth for submerged flow is estimated in FEQUTL assuming that the loss of energy from section 1 to the roadway crest will be in the same proportion to the loss of energy from section 1 to section 43 as for incipient submergence. In equation form this assumption becomes
,where
E 1 s is the energy
loss from section 1 to the roadway crest when the flow over the roadway
is
E 143 s is the energy
loss from section 1 and 43 when the flow over the roadway is submerged;
E 1 f is the energy
loss from section 1 to the roadway crest when the flow over the roadway
is
E 143 i is the energy
loss from section 1 to section 43 at incipient submergence of the free
flow.
The loss ratio at incipient submergence is assumed to remain the
same for submerged conditions in FEQUTL computations. The specific energy
at the roadway crest for submerged flow is computed and inverted to find
the crest depth for submerged flow. This crest depth is then used to estimate
the momentum flux for submerged flow.
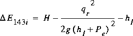
Assuming critical flow on the crest, the energy loss from section 1 to the roadway crest at free flow is
Assuming that the roadway embankment height, P e, above the approach reach is about the same as its height above the departure reach, the loss from section 1 to section 4 at incipient submergence is estimated from
,where h I is the piezometric downstream head at incipient
submergence measured from the roadway crest. The energy loss from section
1 to section 43,
E 143 s,
is given by equation 96 with h I, the downstream head
at incipient submergence, replaced by h t, the downstream
head causing submergence.
Several checks on the results for the submerged crest depth are performed in FEQUTL computations. The loss ratio is given a minimum value of 0.005. Also, the crest depth computed for submerged flow is not permitted to be less than the crest depth for free flow at the given upstream head.
The momentum flux over the roadway crest may not be a good estimate of the effective flux that enters the control volume of the departure reach for the simple momentum balance. The pathway of flow over the roadway entering the departure reach should be considered. Many rural and suburban roads do not have curbs and gutters. Ditches adjacent to the roadway serve as drainage channels. A portion of the water flowing over a roadway at a culvert crossing may be intercepted by the ditch on the downstream side of the road. This water is then delivered to the departure reach of the culvert. This water enters the departure reach at approximately a right angle. Therefore, the effective momentum flux in the downstream direction from the flow over the roadway is much smaller than the momentum flux computed for the flow over the roadway. A fixed factor is included in FEQUTL as a multiplier on the estimated momentum flux over the roadway to better estimate the effective flux for the simple momentum balance used in the departure reach.
Culverts commonly are placed in a stream in a manner that departs markedly from the placement assumed in the laboratory tests on which the loss estimates are based. For example, for reasons of simplicity, economy, or physical restrictions, culverts commonly are placed so that the stream approaches the culvert perpendicular to the barrel and makes a sharp right-angled bend immediately upstream from the culvert entrance. An input value, APPLOS, is included in FEQUTL and is taken as a factor on the approach velocity head to represent additional losses. When the flow entering the culvert undergoes an expansion, the loss coefficients determined in laboratory tests do not apply. The input value, APPEXP, is then applied as a factor on the velocity-head difference between sections 1 and 2.
This discussion of the CULVERT command contains a simplified outline of the steps in the solution process. Many special conditions must be detected and addressed. One of the more difficult problems is convergence failure at some point in the solution process. The process has many iterative solutions: steady-flow profiles, critical depth, normal depth, inversion of specific energy, inversion of specific force, and others. A failure to converge could arise from a user error, a program error, or an incorrectly selected path. Tests are included in the program code to distinguish these causes of convergence failure, but sometimes these causes cannot be determined in the tests. Only a subset of all possible culverts can be computed with the CULVERT command.
Two common cases result in computational failure in the CULVERT command. One case where problems arise is in computation of culvert-flow type 0. This flow type only should result at low flows when the culvert barrel has a greater capacity than does the low-flow channel in the approach section. No transitions for type 0 flow are provided in FEQUTL. If type 0 flow results for moderate to high flows, it is likely that the approach section is invalid.
A related condition arises with flow over the road. All the flow in the culvert and over the roadway must pass through the approach section. If the length of overflow for the roadway is too wide, culvert-flow type 0 will result. Critical control at section 1 is assumed in culvert-flow type 0. For computation of flow over the roadway it is assumed that critical control cannot result at section 1. These two assumptions conflict, and computational failure or problems will result. The flow over the roadway is computed, if possible, as long as the flow is less than or equal to the critical flow in section 1. This is done only to provide a result that can be interpreted. Flow over the road and culvert-flow type 0 are not compatible. If culvert-flow type 0 results at moderate to high flows or with flow over the road, then the representation of the culvert must be changed. Two alternative representations of the culvert are possible.
The flow over the road can be computed separately from the flow in the culvert by applying the EMBANKQ command (section 5.6). Calculation of the flow over the road with the CULVERT command is suppressed by specifying a high value for the elevation of the roadway crest. Two flow tables will be computed in FEQUTL: one for flow over the road and the other for flow through the culvert barrel. These flow tables are then used in parallel in FEQ to represent the culvert. Some of the interaction between the two flow paths is lost. However, this may be applied if the flow over the road is at a distance from the culvert or if the flow over the road is large relative to the flow through the culvert.
The other alternative for computing flow over the road and through the culvert is introduction of an explicit expansion upstream from the culvert applying the EXPCON command (section 5.7). The approach section, which is smaller than the culvert opening, is utilized as the upstream cross section for the expansion. A new approach section, made large enough that the flow always contracts as it enters the culvert, is then utilized for the approach section for the culvert and as the downstream section for the expansion. In the FEQ model, the expansion is connected to the culvert with a short branch, usually only 1 or 2 ft long, with the new approach section of the culvert defining the cross section for the branch.
Neither of these alternatives account for the lack of knowledge of the physics of flows expanding at a culvert. However, these alternatives account for the problem of computational failure. Only a careful field check of the cross sections can reveal if they are properly measured. Unless the culvert opening is partially blocked, a cross section must be available that is larger than the culvert opening. If the culvert opening is partially blocked, then the barrel cross section utilized is incorrect.